Chapter 1. Fundamentals of Error Analysis and their Uncertainties in Dimensional Metrology Applied to Science and Technology
1.1. Introduction to uncertainties in dimensional metrology
1.2. Definition of standards
1.3. Definition of errors and uncertainties in dimensional metrology
1.4. Errors and their impact on the calculation of uncertainties
1.5. Applications based on errors in dimensional metrology
1.6. Correction of possible measurement errors
1.7. Estimation of uncertainties of measurement errors in metrology
1.8. Approaches for determining type A and B uncertainties according to the GUM
1.9. Principle of uncertainty calculation: types A and B
1.10. Summary
1.11. Bibliography
Chapter 2. Fundamentals of Dimensional and Geometrical Tolerances According to ISO, CSA (Canada), and ANSI (USA)
2.1. Introduction to geometrical products specification
2.2. Dimensional tolerances and adjustments
2.3. International vocabulary of metrology
2.4. GPS standard covering ISO/TR14638-1995
2.5. Conicity according to ISO 3040-1990
2.6. Linear dimensional tolerances
2.7. Positioning a group of elements
2.8. GPS standards according to the report CR ISO/TR14638 of 1996
2.9. Rational dimensioning for a controlled metrology: indices of capability and performance indices statistical process specification
2.10. Summary and discussion
2.11. Bibliography
Chapter 3. Measurement and Controls Using Linear and Angular Standards
3.1. Key dimensional metrology standards
3.2. Meter, time, and mass
3.3. Deformations and mechanical causes of errors
3.4. Marble, V-blocks, gauge blocks, and dial gauges
3.5. Dial gauge
3.6. Example of a laboratory model
3.7. Precision height
3.8. The universal protractor vernier
3.9. Vernier calipers
3.10. Micrometer or Palmer [OBE 95, STA 97]
3.11. Summary
3.12. Bibliography
Chapter 4. Surface Control
4.1. Control and measurement of angles
4.2. Surfaces of revolution
4.3. Metric thread (M) measurement on gauge
4.4. Controls of cones on machine-tools
4.5. Control of flat surfaces
4.6. Control of cylindrical surfaces (of revolution)
4.7. Control of surfaces of revolution with spherical forms
4.8. Control of the relative positions of surfaces
4.9. Methods of dimensional measurement
4.10. Bibliography
Chapter 5. Opto-Mechanical Metrology
5.1. Introduction to measurement by optical methods
5.2. Principle of interferential metrology (example: prism spectroscope)
5.3. Flatness measurement by optical planes
5.4. Principle of interferoscope
5.5. Control of parallelism (case of parallel gauge-blocks)
5.6. Conclusion
5.7. Bibliography
Chapter 6. Control of Surface States
6.1. Introduction to surface states control for solid materials
6.2. Instruments for measuring surface state
6.3. Symbols used in engineering drawings to describe the appropriate surface state according to ANSI/ASME Y14. 36M-1996
6.4. Presentation of Mitutoyo Surftest 211
6.5. The main normalized parameters of surface states used in the industry, their formulas, and definitions
6.6. Example on the control of the roughness of a plate grade 6061
6.7. Calculations of the overall uncertainty in the GUM method compared to the Monte Carlo method using the software GUMic
6.8. Summary
6.9. Bibliography
Chapter 7. Computer-Aided Metrology-CAM
7.1. Coordinate-measuring machine (CMM)
7.2. Commonly-used geometric models in dimensional metrology
7.3. Nominal geometric elements
7.4. Description of styli and types of probing
7.5. Software and computers supporting the CMM
7.6. Starting a B504B-Mitutoyo CMM [MIT 00]
7.7. Measurements on CMM using the Cosmos software [MIT 00]
7.8. Examples of applications using CMM
7.9. Chapter summary and future extensions of CMMs
7.10. Bibliography
Chapter 8. Control of Assembly and Transmission Elements
8.1. Introduction to the control of components for temporary assembly and elements for power transmission: threads, gears, and splines
8.2. Helical surface for screw threads
8.3. The main threads in the industry
8.4. Principles of threads control
8.5. Screws resistance and quality classes
8.6. Control of screw thread by mechanical and optical comparison
8.7. Introduction to gear control
8.8. Introduction to spline control
8.9. Summary
8.10. Bibliography
Chapter 9. Control of Materials Hardness Testing
9.1. Introduction to non-destructive testing
9.2. Principle and description of the Rockwell hardness
9.3. Brinell hardness test
9.4. Principle of the Vickers hardness test [ISO 98, ISO 99, ISO 00]
9.5. Knoop hardness (HK)
9.6. Barcol hardness
9.7. Rebound hardness test by Shore test (scleroscope)
9.8. Mohs hardness for minerals
9.9. IRHD rubber hardness tester
9.10. Comparison of the three main hardness tests and a practical approach for hardness testing: Brinell HB, Rockwell HR, and Vickers HV
9.11. Main mechanical properties of solid materials
9.12. Mechanical tests on plastic materials
9.13. Fatigue failure and dimensional metrology for the control of the dimensioning of materials assembled by welding
9.14. Summary
9.15. Bibliography
Chapter 10. Overall Summary
Glossary
Lexicon of terms frequently used in metrology
Warning
Bibliography
Appendix 1
Appendix 2
Appendix 3
Appendix 4
Appendix 5
Appendix 6
Index
First published 2011 in Great Britain and the United States by ISTE Ltd and John Wiley & Sons, Inc.
Apart from any fair dealing for the purposes of research or private study, or criticism or review, as permitted under the Copyright, Designs and Patents Act 1988, this publication may only be reproduced, stored or transmitted, in any form or by any means, with the prior permission in writing of the publishers, or in the case of reprographic reproduction in accordance with the terms and licenses issued by the CLA. Enquiries concerning reproduction outside these terms should be sent to the publishers at the undermentioned address:
| ISTE Ltd | John Wiley & Sons, Inc. |
| 27-37 St George's Road | 111 River Street |
| London SW19 4EU | Hoboken, NJ 07030 |
| UK | USA |
| www.iste.co.uk | www.wiley.com |
© ISTE Ltd 2011
The rights of Ammar Grous to be identified as the author of this work have been asserted by him in accordance with the Copyright, Designs and Patents Act 1988.
Library of Congress Cataloging-in-Publication Data
Grous, Ammar.
Applied metrology for manufacturing engineering / Ammar Grous.
p. cm.
Includes bibliographical references and index.
ISBN 978-1-84821-188-9
1. Manufacturing processes. 2. Metrology. 3. Tolerance (Engineering) I. Title.
TS183.G796 2011
670.42--dc22
2010046518
British Library Cataloguing-in-Publication Data
A CIP record for this book is available from the British Library
ISBN 978-1-84821-188-9
In the field of applied science, measurements are not accurate as they are always subject to errors due to various causes, both human and material. Qualifying an error to later quantify an uncertainty proves that the validity of the measurement result is doubted. Therefore, evaluating uncertainties of measurements generating errors is quite a complex task. To “buoy” the influencing factors on which the type of measurement depends, first we develop the mathematical principles relevant to this domain [GUI 00, 04, MUL 81, NIS 94, TAY 05].
On reading the International Vocabulary of Metrology (VIM) and the Guide to the Expression of Uncertainty in Measurement (GUM) [NIS 94, VIM 93] concerning several specific areas of metrology (see ISO 1087-1, 2000, §3.7.2), we note that the definition given for “error” and “uncertainty” is poorly understood and even truncated. For example, in the VIM from 2004 to 2006, there was no fundamental difference in the basic principles of measurements, whether they were carried out in physics or engineering. As the uncertainty in the measurement increases from classical or true value approach (forevermore unknown) toward uncertainty approach, it leads to the reconsideration of the measurement concepts. We know that both the instruments and the measurements do not provide “this” true value. Therefore, it is possible to differentiate two categories of errors. They should be considered differently in terms of propagation of errors. However, as no justified rule underlies the combination between systematic and random errors, it results in total error, which characterizes the measurement result. The estimated upper limit of the total error is named as uncertainty.
The components of measurement uncertainty are conventionally [VIM 93] grouped into two categories. The first one, type A, is estimated using statistical methods, and the second, type B, is estimated using other methods. It is a priori based on laws. In fact, the person operating is responsible for assessing the sources of errors. Although the manufacturers provide data such as the class of the device, the standard, and the resolution, we should have sound knowledge based on experience. Combination of both categories A and B gives the compound uncertainty Uc( y).
GUM [GUM 93], corrected in 1995, provides a definition for the type B approach of uncertainty. It emphasizes mathematical processing of uncertainty using an explicit measurement model where the measurand is characterized by a unique value. The objective of uncertainty approach in measurement is not to determine the true value but to evaluate the errors. There are several types of measurement errors, such as parallax error, setting zero reference of the device, technique errors, errors in reading the instrument, and even human errors due to various effects such as temperature, dilation, and relative humidity. Therefore, it is difficult to define uncertainty solely based on the standard deviation. We should also consider the parameters given by the manufacturer (Mitutoyo in our study). Moreover, even the most refined measurement cannot reduce the interval to a single value due to the inherently finite amount of information defining the measurand: it is then agreed, in the VIM, that a definitional uncertainty imposes a limitation lower than any measurement uncertainty. The interval is then represented by a measured value, which results from the instrumental manipulations.
The VIM third edition of 2008 provides more concise definitions of the terminologies used in metrology. In other fields of engineering, the work is based on reliability indices [GRO 94, GRO 95]. To quantify the probability of assembled structures failure, the Monte Carlo simulation approach plays an important role in metrology. It is one of the reasons we completed this book dedicated to dimensional metrology using a dimensioning approach based on a cross-welded structure.
Similar to the VIM, in the GUM [GUI 00, NIS 94] the objective of measurements is to establish the probability that certain measured values are consistent with the definition of the measurand. The reader will easily notice that the terminology is rather less common in experimental sciences. Nevertheless, measurement, measuring, measurand, true value and so on are terms that should not be used inappropriately. The terms given in the VIM third edition, and their formats, are consistent with the frame rules for terminology outlined in international standards ISO 704, ISO 1087-1, and ISO 10241. For further information, the reader can refer to them. The word mesurage has been used to describe the act of measurement. The word mesure occurs in various occasions in the VIM. Other terms include appareil de mesure, unité de mesure, and méthode de mesure (respectively, measuring instrument, unit of measurement, and measurement method in English). In general, the usage of French word mesurage for mesure is not permissible.
In addition, the quantity of influence is not subjected to measurement, even when it affects the measurement result (e.g. the temperature of a micrometer). Quantities of influence, or factors or sources of uncertainties, are generally categorized into three types:
– Human: handling, maintenance of the test facility, and so on;
– Technical: method of testing, properties of test materials, calibration, and so on;
– Environmental: test environment, random components, and so on.
In metrology, the measurement is an experimental process aiming to determine the value of a physical quantity, which can be achieved using the measuring method. This requires the use of apparatus and measuring instruments, which in many cases prove to be a source of errors. Thus, it makes clear that metrology is mainly based on the concepts of uncertainty [MUL 81, PRI 96, TAY 05] and value. The uncertainty reflects the way a quantity is measured and the confidence given to a result. The usage of instruments in measurement involves calibrations and manipulations, thereby requiring appropriate procedures and calculations. For these reasons, many systems of calculations and measurements have been introduced. Among the retained systems, we discuss international and Canadian standards. Many countries retain their own standards while using the SI units. This is the case in Canada and the United States. However, the implementation of the SI units is wider in Canada than in the United States. Hence, Canada resorted to the SI units or US standards, rather than Canadian Standards Association (CSA); see the tools of the American National Standard Drafting Manual operated by CAD software. In 1960, the General Conference on Weights and Measures, a leading authority on this matter, adopted the SI units. On 16 January 1970, Canada, like the United States and the United Kingdom, decided to convert to SI units.
In Quebec, the system has the comma as the decimal separator, whereas in Canada and the United States the decimal point is still used, refer to CAN3-Z234.1-76 (CSA) of February 1977. For welding standards, Canada has its own codification, reference CSA W47.1-1973. In disciplines dealing with machine production, we associate confidence interval, tolerance, or uncertainty with a nominal dimension. The readers are aware of the quality of the measurement. Obviously metrology standards are generally used by the manufacturer of the apparatus and measuring instruments. We should, therefore, adequately comply with them. In Canada, the National Calibration System, aiming at ensuring the traceability of the reference and measurement instruments to national standards, is based on officially accredited laboratories by the calibration section of the CSA (in French, ANOCR). According to the VIM calibration [VIM 93], it is “the property of the result of a measurement or a standard whereby it can be related to stated references, usually national or international standards, through an unbroken chain of comparisons all having stated uncertainties”.
The verification consists of confirming by examination and establishing the evidence that specified requirements have been met. Based on the study of the norm by the participants, the following recommendations arise:
– No adjustment shall be made on the meter during the inspection. If an adjustment is made, it must be accompanied by a pre-registration audit/verification result and a record of it after adjustment.
– The verification certificate may contain the measurement results (not compulsory).
– A written record of the verification results must be kept separately in the relevant file of the measuring device.
The concept of traceability includes calibration and verification. Sometimes, there is confusion between the two terms, and they do not cover the same concept. Verification is usually performed in practice. It is agreed that the choice of means of traceability is tricky because of the significant costs incurred. We do not discuss this issue in our context. However, we emphasize, in concordance with the VIM, the definitions of four types of standards, namely, primary standard, reference standard, transfer standard, and working standard [ACN 84, FRI 78, MUL 81, TAY 05, VIM 93].
According to ISO, standard is defined as the “measure materialized by a meter or measuring system intended to define, realize, conserve or reproduce a unit or many known values of a quantity for the future compared with other measuring instruments.”
Reference standards should never be used as working standards. As a computer is involved in the management of standards, it is clear that the identification of instruments in business is unique to each and rarely corresponds to the serial number of the instrument.
Note that the “service history form” corresponds to an instrument and not a landmark. If the instrument designated by the number r1 r2 r3, which corresponds to the reference R, is changed, the life form follows the number r1 r2 r3 but not the instrument number r1 r2 ri, which will be substituted by the marker R. The system of labeling provided by the quality department indicates the date of next calibration to allow the programming of calibrations. The identification of non-compliant instruments is carried out by labeling. Programming, if any, also enables us to plan future investments. The traceability documents are in fact the form of non-compliance sheet (internal to laboratory), and the relevant non-assurance quality sheet justifies the relationship between the company and the supplier. As we need to be very conscious of the vocabulary used in metrology, definitions from the VIM are proposed as follows:
– Primary standard is a “standard that is designated or widely acknowledged as having the highest metrological qualities and whose value is determined without reference to other standards of the same magnitude.”
– Reference standard is a “standard, usually having the highest metrological quality available at a given location or in a given organization, based on which measures made therein are derived.”
– Transfer standard is a “standard that is routinely used as an intermediary to compare standards between each other.”
– Working standard is a “standard that is used routinely to calibrate or verify material measures (materialized), measuring equipment or materials reference.”
The term “device” should also be used wisely. The transfer device should be used when the intermediary is not a standard.
Note that the working standard is usually calibrated against the reference standard. A working standard is used routinely to ensure that measures are implemented correctly and also known as control standard. Students use this standard during their experiments in metrology laboratories. The chain structures [ACN 84, GUI 04] slightly differ from one laboratory to another depending on the available material resources. The basic structure of a measuring system (Figure 1.1) is generally found in all measurement chains regardless of their complexity and nature, which includes at least three levels. Sensors deliver an electrical signal, which offers huge opportunities. Almost all measuring systems are electronic chains.
Figure 1.1. Chart illustrating the quantities to be measured “at minimum”
In metrology, inappropriate usage of a term would result in distortion in the measurement and even in the interpretation of its result. Thus, the French term mesurage defines the set of operations carried out to determine the value of a quantity. The particular quantity that is to be measured is called the measurand. The valuation of a given quantity in comparison with another similar one taken as unity gives rise to the measure X, for example, 3/4 in. The quantity value X is a parameter that must be controlled during the development of a product or its transfer.
The physical quantity measurement is carried out by comparing with the earlier set standard. Comparison may be difficult or even impossible due to practical reasons. The measurement may be done directly or indirectly based on the measurable quantity. We know that any measure of a physical quantity is always flawed with errors. Errors are inevitable due to the nature of methods and procedures used in the experiments.
Beware of linguistic “faux amis”: in French, “étalonnage” is not “calibrage” (not to be confused with “calibration” in English).
First, it should be noted that the calibration of an instrument is not sufficient. The calibration of a micrometer, for example, is only a statement at time τ, under certain conditions, deviation between the indications of the device and a reference standard. The calibration certificate of an instrument [CAT 00] provides the deviation, and uncertainty on this deviation is called calibration uncertainty. It is incumbent on the user to take into account the calculation parameters of measurement uncertainty, which includes:
– uncertainty about calibration carried out during traceability;
– uncertainty due to the accuracy of the device if uncorrected;
– uncertainty related to drift (fatigue) of the instrument between two calibrations;
– uncertainty linked to the instrument’s characteristics (reading, repeatability, and so on);
– uncertainty linked to the environment, if the conditions are different during calibration.
Based on these, we may conclude that calibration is a process of comparing an “unknown” element (a measure obtained) with an equivalent or better standard. A standard measure is considered as a reference. Calibration may include an adjustment to correct the deviation of the obtained value from the standard. This is represented by the standard deviation. In sum, calibration is used for various reasons, for example:
– plan and exchange confidently;
– optimizing resources to be competitive;
– ensuring the compatibility of measurements in different locations at different times but under the same conditions, thus justifying the adequacy of repeatability.
According to the VIM, standards are defined as “a static materialized measure, measuring device or measuring system intended to define, realize, conserve or reproduce a unit or more known values of a quantity (magnitude) in order to forward them (transfer) compared to other measurement instruments.”
In analogy with earlier definitions, the four major standards are defined as follows:
– International standard is recognized by international agreement to serve internationally as the basis for fixing the values of all other standards of the quantity concerned.
– National standard is recognized by an official national decision to serve in a country as the basis for fixing the values of all other standards of the quantity concerned.
– Primary standard is designed as having the highest metrological qualities in a specified domain. So it is a standard with the highest precision order used to calibrate a standard of lower level.
– Secondary standard is a designated measurement element, which compares the base value of a primary standard with another test element.
In Canada, the frequency of calibration is done within an interval defined for each calibration according to the norm CAN3-85-Z299.1. The period is different for each calibration (3 months or 2 years). It can be expressed as the calibration cycle required per year. The equipment used in metrology has a proven accuracy as it is provided by the manufacturer. Depending on the environmental conditions, the usage, and the application, the desired accuracy must be established for a specific period of time. Figure 1.2 is a simple illustration for τ = (1.5–12) and a calibration reliability at 50% = λ = 1/2:
[1.1] 
Traceability is the property of the measurement result or the value of the standard whereby it can be linked to specified references (usually of national or international standards) through an unbroken chain of comparisons all having stated uncertainties.
Figure 1.2. Illustration of the measurement accuracy over time
Traceability is supplemented with a succinct document related to metrology to translate the examination of each event of the procedure and its means. Furthermore, the traceability requires ordered and permanent records. This allows the user to know the history of a process or an instrument. Traceability helps know the drift or changes in equipment, thus facilitating the management of a multitude of aspects, such as:
– varied use and appropriate adjustment of equipment in the workplace;
– selection of a piece of equipment among others offered by different suppliers;
– detection of higher or lower precision (based on records).
The term traceability is often inappropriately used by the journalistic world without being accurately defined as in the VIM. Thus, it is poorly understood and sometimes wrong.
Good traceability is required for good analysis defining the periodicity of the traceability, classifying , archiving, and writing a procedure describing the details of the instrument’s life form and keep it updated. The service history form of an instrument is equivalent to an individual health book and should be maintained during the instrument’s life cycle. This form is obtained while purchasing the instrument and archived unlined without ambiguity even when the instrument becomes out of order.
Again, we recall that calibration is a set of operations that determine, under specified conditions, the relationship between the values indicated by an instrument or a measuring system and the corresponding known values of the measured quantity. It establishes the relationship between the output quantity value and the applied one. Its results are documented in a calibration certificate (report) [CAL 05].
Calibration certificate does not provide information on the satisfaction of the measuring device requirements. It records only the inherent information at that time. The calibration chain proves that calibrating a measuring device requires choosing the options that consider costs and uncertainties. The frequency of calibration is based on appropriate need, such as drift in time expressed through the service history, according to the manufacturer’s specifications and regulations.
Certificate of conformity [CAL 05], [CAT 00] certifies a firm that it has made every effort to ensure that the device, specified in the certificate, satisfies the specified requirements. In dimensional metrology, a procedure is described in a simple and accurate concept. Concisely, a procedure is a detailed set of operations performed sequentially in a given method. Each test generally consists of three distinct phases: the configuration of the measurement system (standard and test piece), the measurement, and the assessment of the result. Figure 1.3 shows a general schematic representation of the procedure.
Figure 1.3. Schematic representation of the procedure in dimensional metrology
In metrology laboratories, various vocabularies are used, such as Accredited or certified? Recorded? Conform to the standard? Meeting the standard? In compliance with the standard(s)? In Canada, there are four agencies that contribute to the development of national standards, which results in the involvement of the CSA. The number of Canadian professionals involved in the development and implementation of standards is estimated at more than 15,000. In all the cases where the metrology function is necessary, questions relating to the control of the means reveal the basic criteria of metrology.
Uncertainty is an estimation characterizing the range of values within which the true value of the measured quantity lies. In fact, uncertainty of measurement comprises many components. Some of them can be estimated based on the statistical distribution of series of measurements often characterized by experimental standard deviation, whereas other components can be estimated based on the experience or other information. Unfortunately, in some school case studies, error and uncertainty continue to be confounded. Precise metrology cannot define this flouting of the vocabulary hence VIM exists. For this reason, we try to answer succinctly the following question.
Figure 1.4 shows the error included in the interval between the read value and the true value. However, in metrology, uncertainty [GUI 04, PRI 96] never means error [MUL 81, VIM 93].
Figure 1.4. Schematic representation of the error over uncertainty
Assuming that T is the permissible tolerance on the measurement, uncertainty can be expressed as:

Thus, the measurement result is equal to the read value ± U.
Uncertainty factors on the measurement will vary. Figure 1.5 shows the 5M method boiling down to the uncertainty on the measurand.
Figure 1.5. Representation of the error with respect to the uncertainty using the 5M methods1
The VIM vocabulary (XP X07-020) and the GUM [NIS 94] can be used to establish the measurement process as in Table 1.1.
Table 1.1. Establishing a measurement process
Knowing that the uncertainty serves to choose the necessary means – in the measurement – we deduct that there is a relation between the uncertainty and the tolerance. The greater the accepted tolerance, the greater is the measurement uncertainty. In legal metrology, tolerance is five times greater than uncertainty. The following equation is generally used in industry:

The quantity U gives the capability Cp of measuring equipment T. A case example of uncertainty calculation shows that:
– if the parameter influence is less than (0.01 × tolerance), then the parameter can be neglected, keeping the track of the calculation that led to neglect it;
– the calculation of uncertainty is a task for experts;
– the calculation of the uncertainty has to be made by a specialist. This calculation could be also relieved in which case we would increase the influence of the factors of influence..
Having discussed the essential pre-conditions for dimensional metrology, we now explain the cases of errors and uncertainties. Uncertainty calculation is based on the types of errors. Therefore, we should differentiate between absolute error and relative error. The latter represents the ratio of measurement error to the true value of the measurand. A relative error is usually expressed as the percentage of the measured quantity. When, for example, a micrometer is used to measure a dimension, we quantify the latter and compare it directly or indirectly to an already existing standard. The quantity thus quantified is a physical observable quantity value because it characterizes a physical condition or a system. In dimensional metrology, the physical quantity characterizes essentially three criteria that are inseparable: the unity, the numerical value, and its uncertainty.
Consider, for example, a measure um, that is, the measurement value of a quantity U. Assuming a true value u0 of this quantity, the error eu is then defined as follows:
[1.2] 
This may also be converted into the following chart:
The error eu can be either a positive or negative number. Obviously, it is not possible to know the error eu either in measure or in sign. We may only propose to assess – with more or less approximation – an upper limit ∆ u of the absolute error value; this limit is called uncertainty and is schematized:
An upper boundary on the error with an uncertainty domain and a confidence interval can be written as:
[1.3] 
According to this equation, ∆ u is always positive. The accuracy of the measurement is greater when the uncertainty is smaller ∆ u. This notion may, however, remain vague if we do not specify the datum compared to which the amount ∆ u is deemed small. This approach consists of comparing ∆ u with u0 according to equation [1.2]. This resulting ratio is known as relative uncertainty. It is thus possible to compare two measures of different magnitude orders. The most precise measure is the one for which the relative uncertainty is the smallest. If um is known while u0 is unknown, then the relative uncertainty given in equation [1.2] should be considered.
With um being the best estimate of the quantity U, the following description shows how to graphically represent the uncertainty domain associated with the measurement.
[1.4] 
We will not discuss the basic properties often used in physics laboratories. We usually present them to practitioners in laboratories of metrology or applied physics [DIX 51, MUL 81, TAY 05].
[1.5] 
[1.6] 
[1.7] 
[1.8] 
[1.9] 
[1.10] 
We present the basic statistical functions as follows.
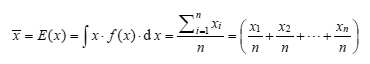
The expected value is a parameter of central value that is written as:
[1.11] 
where xi is the ith measured value to the nth value on n measured values;
is the arithmetic mean of the measured values.
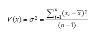
The variance is a parameter of dispersion that is often expressed by its standard deviation:

In many cases, we may also consider the following:
[1.12] 
for a population with n measurements ( n < 30).
The covariance of X1 and X2 is a measure of the relationship expressed by:
[1.13] 

The standard deviation is a dispersion parameter often used in the formulas:
[1.14] 
Probability density function for the normal distribution is given by:
[1.15] 
Our objective here is not intended for the development of mathematical statistics of basic formulas. We only name them. For further details, the reader may refer to the specialist literature on the subject [MUL 81, TAY 05].
C is the constant, and R is the correlation coefficient.
Measurements are performed to determine the instantaneous value and the evolution of certain quantities [GUI 04, TAY 05], such as information on the status and trends of a given physical phenomenon. In fact, there are two main kinds of errors that are likely to affect measurement: the bias error and the accidental error.
Accidental error is caused due to a wrong move, a misuse or malfunction of the apparatus. Usually, they are excluded in determining the measure. They cannot be quantified without adding them to the error itself. Random errors are caused by human and cannot be prevented.
Aspects such as the certainty with which an instrument is handled, the accuracy with which the eye observes the positioning of an indication of the dial caliper read on the scale, and the differential acuity of the observed vision differential are limited. Each experimenter is expected to be aware of accidental errors in measurement, to keep them as low as possible and to estimate or quantify their impact on the measurement result. The measurement result x of a quantity X is not fully defined by a single number. Uncertainties arise from various errors linked to the measurement. A measure should be characterized by, at least, a couple ( x, δ x) and a unit of measurement. Assuming δ x the uncertainty on measurement x, we obtain, for example, 1/4 ± 5% inch or 25.4 ± 1/10 mm.
In fact, the accidental or fortuitous error varies unpredictably both in absolute terms and in signs when making a large number of measurements of the same magnitude in almost identical conditions. For example, we should not disregard an inadvertent error by making a correction to the “gross” value of the measurement result. At the end of a series of measurements, we can only set an upper limit for this error. Hence, a fortuitous error is usually described as accidental error or even random error.
Ultimately, we believe that errors linked to the measured entity and the observation system cannot automatically deduce the true value. The latter remains an ideal concept (some would argue that it is a vague linguistic concept) helping model the effect of errors. The metrologist approach consists of finding the true value by associating it with the least amount of mistakes, which is the purpose of this chapter. Under the foregoing, we note this statement by:

Systematic errors are reproducible errors caused by any factors that systematically affect measurement of the variable across the sample; therefore, they could be eliminated by suitable corrections. According to the VIM, the bias is defined as “mean that would result from an infinite number of measurements of the same measurand carried out under repeatability conditions minus a true value of the measurand.”

As is the case for the true value, the bias and its causes cannot be known completely. As for measuring instruments, we refer to the definition of the bias error written as:

Systematic errors occur while using the poorly calibrated units such as an erroneous scale, an improperly adjusted micrometer, or an inconsistent probing with the sphere of a three-dimensional measuring machine. They also arise due to the negligence of some factors influencing the course of the experiment.
Systematic errors, as long as their cause is known, can be rectified by making the correction to the measurement result. The characteristic of these defects is to act always, in the same direction, on the measurement result, by systematically distorting it with excess or deficiency. These defects introduce systematic errors generally known as defects of accuracy/c orrectness (Table 1.2).
Table 1.2. Some examples of errors and their possible origin
| Possible origin | Concrete examples |
|---|---|
| The measuring chain | Displacement from zero and/or faulty calibration, unawareness of the equipment’s principles, negligence of significant key elements, and so on |
| The applied method | Weigh-in a solid, volatile fluid (in chemistry), and so on |
| The experimenter | Parallax error (confusion between nominal and simulated axes under GPS standards) |
The following stance should be considered to avoid the errors:
– awareness of the existence of errors and never disregard them;
– make sure to track them, knowing that they always act in a given direction;
– try to reduce their impact through proper use of instruments (zero balancing) or possibly by changing the method of measurement;
– make a correction which includes the detected defect.
Errors caused by measuring apparatus [CAT 00] are often inherent to mechanical defects or other kinds of defects. The accuracy of a measuring apparatus is defined by the interval of its reading graduations, for example, a simple caliper or a micrometer with mechanical reading. For a 0.02 mm slide caliber, a slide of 1/50 may be affected by one or many of the following reasons:
– unequal intervals of the scale in direct reading;
– inequality in the screw pitch on the micrometer;
– a possible shift of the scale origin, wear of caliper’s jaws;
– any defect in the contact surfaces, such as parallelism.
For these reasons, instrument users need to clearly observe the instructions of the manufacturer. Usually, there is a leaflet with the measuring instrument. In terms of faithfulness, in applied metrology of course, here are some examples that would affect the errors, for example, the clearance in the sliding, that is, spouts, screws, joints, and indicators, possible changes in contact pressure or limitation of micrometers. Some of the examples of the errors due to apparatus are as follows:
– unequal intervals and shift from the origin;
– distortion of the contacts;
– parallelism defects and the clearance.
Reading errors sometimes result from an erroneous or imprecise assessment. Pitch lines not coinciding the graduation and improper visual position affect the measurement accuracy and therefore the assessment. Imperfections, let us say manipulation flaws, (i.e. misalignment of instrument) shall inevitably lead to errors, thus creating permanent doubt. Though, in dimensional metrology, it is recommended that we doubt. Note that after machining, the existence of burrs and inevitable use of grease or oil would accidentally affect the measurement by the very interposition of foreign materials, such as graduation on bevel eliminates the risk of misreading, or misalignment of the device.
It is known that moisture conditions (relative humidity) do affect the properties of materials (instruments, appliances, and parts subjected to measurement). The impact is deemed greater when the anisotropic materials are affected more than the isotropic solid materials. Temperature variations affect both the measuring instruments and the parts intended to be measured, especially on fine-tuning devices. The measuring instruments are calibrated at 20°C. As a consequence, it follows an impact of possible expansions or contractions.
The expansion is expressed as:
[1.16] 
where L is the initial length (nominal dimensions) of a piece, expressed in millimeters or inches; λ is the expansion coefficient (or linear expansion) of materials; ∆r= ( τ1 - τ) is the change of temperature in degree Celsius.
If the coefficient of expansion λ is negative (-), we understand that it is a contraction. If it is positive (+), we deduce that there is expansion. In the exercises section, we present an instructive example in this regard.
The quantity that is to be measured is known as the measurand. The comparison system and the standard constitute, in turn, the measuring system. It would be unrealistic to consider that any measure really reflects what is translated by an instrument, whatsoever its accuracy. Thus, any measurement process is flawed and hence admits a certain degree of uncertainty. The origins of these multiple errors are sometimes difficult to identify. However, metrologists agree to classify them into three categories, namely, errors due to the measurand itself, the measurement system, and the (technical) approach to measurement or observation.
According to section 2.6 of the VIM, these three sources of errors are described. First, we should bear in mind the outline of Figure 1.6 (ASME, American Society of Mechanical Engineers Standards; ISO 1101: GPS*, Geometrical Product Specifications; AIAG, Automotive Industry Action Group).
It is imperative to properly define the measurand because a wrong definition may inevitably distort the interpretation. Some say it is a language problem, whereas others say it is a communication problem. It is both in our view. We should be wary as much as possible to avoid, or even deflect, this source of error. For example, in a dimensional metrology laboratory, sometimes students are taught to measure the length of a gauge block using the width of their thumb (in.). Often we wonder about what is left unsaid by such users of block gauges. We have rarely told them the temperature at which the result should be returned. Our questioning is not simply due to the fact that the observing system has an accuracy and faithfulness of the order of micrometer (or μ inch). Does this remain sufficient? No.
Figure 1.6. Illustration of three sources of errors according to ISO 1101
If, for example, we seek accurate measurement based on such gauge blocks, physical interests should be specified, such as the position of the gauge block relative to the direction of the acceleration of gravity, cleaning of the gauge blocks with appropriate preservatives, considering humidity conditions. Chapter 3 dedicated to standards details it with examples.
If students carry out this verification in a metrology laboratory, certainly this would be a good guarantor of the good habits to be taught and a sound way to achieve commendable results. We know that in physics, when the gauge block is placed vertically, the distance is shorter than that placed horizontally on a plane. It compresses due to its own weight. This simple recommendation seems derision for unwarned users, and it even happened in many laboratories. We have seen in the Continuum Mechanics course, if the gauge block is based on support, its length would depend on the position of that support. There are many cases similar to the preceding. However, a warned metrologist would be interested in endorsing the good conduct during the assessment of the quantity to be measured.
In practice, a measurement system is never perfect. Any system is subject to environmental factors such as pressure and temperature. This fact is realized when the same measurement is repeated several times. The resulting dispersions prove this laboratory common fact. Sometimes, the same standards that were used for calibration are inaccurate. School laboratories rarely carry out a periodic check up.
The primary standard is an imperfect realization of the definition of the unit that it is supposed to represent. The unit is conventionally defined by the International Committee for Weights and Measures. A better definition of the unit, achieving a standard, is never achieved. By pragmatism, standards provided by big companies are generally trusted.
The definition of a physical quantity provided by the measuring instrument interacts directly with the manner of the observation of this measure. In mechanical probing systems, either optical or capacitive, we usually expect different results. This is noticed when correcting students’ workpieces resulting from machine tools. A coordinate measuring machine (CMM) is by far the device that provides the most accurate results.
In metrology, we classify the possible errors in two or three broad categories. Some metrologists retain two categories, but, in fact, it would be easy to distinguish them into three categories. We discuss further on, for example, random errors. It is always possible to decompose the error into systematic error and random error.
According to the VIM, the random error is a “result of a measurement minus the mean that would result from an infinite number of measurements of the same measurand carried out under repeatable conditions.” This is expressed as:

Because only a finite number of measurements can be made, it is possible to determine only an estimate of random error.
These are non-reproducible errors that obey certain statistical laws. Let us again consider the quantity to be measured X. Its measurement was performed several times under apparently identical conditions with measurements independent of one another. Despite these precautions, we notice that results are different. Therefore, these are called measurement faithfulness flaws. The latter are manifested by the non-repeatability of results.
Among the many causes of random errors, we discuss the faithfulness deficiency of the instrument. Faithfulness flaws lead to random errors; hence, the statistical treatment of the results allows estimating the uncertainty. These flaws have several possible causes listed in Table 1.3 [PRI 96] which is not exhaustive.
On reading the position of a pointer against the graduations, it is not necessary to consider more than half a division. The sight of the operator does not change the quality of the measuring instrument. Before starting the measurement of a quantity, we determine the required precision of an instrument and an appropriate method to meet the goal, thus considering the possibility of accuracy flaws for the instrument and the method itself. Never forget to make the necessary adjustments to eliminate or minimize the accuracy flaws.
Table 1.3. Major errors linked to the measurement device characteristics
| Errors due to the apparatus characteristics |
Examples in conventional dimensional metrology |
| Reading error: it depends on the experimenter skills but also on the sharpness of graduations |
Micrometer or caliper |
| Errors due to environmental factors | Environmental factors are not considered during the experimental phase (e.g. change in temperature or pressure) |
| Standard mobility (mobility errors): below a certain value, changes in the measurand will no longer be detected |
Uneven displacement of slats of a digital P to C or a slider below the distance between two turns of a coil that do not affect the final result |
| Standard resolution/(resolution error): is the combination of the two types of previous earlier errors |
Graduation from P to C or considering the last digit of a digital device |
| Hysteresis error | Dilation of a material after machining |
| Errors due to spurious signals: classic cases of the recorded spectral density functions |
A surface appears flat to the naked eye. Under the microscope, this would be different. Thermal agitation provokes a noise floor causing voltage fluctuations. This noise is superimposed on the wanted signal |