
Contents
About the Authors
1 Introduction
1.1 Goals of the Book
1.2 Plasmas in Astrophysics
1.3 Upstream of Plasma Physics: Electromagnetic Fields and Waves
1.4 Upstream of Plasma Physics: The Motion of Charged Particles
2 Plasma Descriptions and Plasma Models
2.1 Distribution Function and Moments
2.2 From Kinetic to Fluid Equations
2.3 Numerical Methods
2.4 Fluid Codes
2.5 Hybrid Codes
3 The Magnetized Plasmas
3.1 Ideal MHD
3.2 Establishing the MHD Model
3.3 Dimensional Analysis and Plasma Characteristic Scales
4 Collisional-Collisionless
4.1 Notion of Collisions in Plasma Physics
4.2 Notion of Dissipation
5 Waves in Plasmas
5.1 MHD Waves
5.2 Transport Induced by Waves
5.3 High-Frequency Waves
5.4 Whistler Mode
5.5 Collisional Damping in Fluid Theories
5.6 Collisionless Damping
5.7 Instabilities
6 Nonlinear Effects, Shocks, and Turbulence
6.1 Collisionless Shocks and Discontinuities
6.1 Turbulence (Mainly MHD)
6.3 Nonlinear Kinetic Physics
7 Flow and Particle Acceleration Processes
7.1 Flow Acceleration and Heating in a Collisional Fluid
7.2 Magnetic Reconnection
7.3 Kinetic Acceleration Processes in Magnetospheres
8 Transport and Acceleration of Cosmic Raysc
8.1 The Problem of Transport
8.2 Fermi Acceleration of Cosmic Rays
9 The Kinetic-Fluid Duality
9.1 Toy Models
9.2 Solar and Stellar Wind Expansion
Appendix
A.1 Notation
A.2 Asymptotic Expansions and Adiabatic Invariants
A.3 Fokker–Planck Equation, First Order Term
References
Index
Related Titles
Irwin, J.
Astrophysics – Decoding the Cosmos
2007
Print ISBN: 978-0-470-01306-9
Rybicdki, G.B., Lightman, A.P.
Radiative Processes in Astrophysics
1979
Print ISBN: 978-0-471-82759-7
Foukal, P.V.
Solar Astrophysics
2nd edn
2004
Print ISBN: 978-3-527-40374-5
Woods, L.C.
Physics of Plasmas
2004
Print ISBN: 978-3-527-40461-2
Stacey, W.M.
Fusion Plasma Physics
2005
Print ISBN: 978-3-527-40586-2
d’Agostino, R., Favia, P., Kawai, Y., Ikegami, H., Sato, N., Arefi-Khonsari, F. (eds.)
Advanced Plasma Technology
2008
Print ISBN: 978-3-527-40591-6
Hippler, R., Kersten, H., Schmidt, M., Schoenbach, K.H. (eds.)
Low Temperature Plasmas
Fundamentals, Technologies and Techniques
2008
Print ISBN: 978-3-527-40673-9
Stock, R. (ed.)
Encyclopedia of Applied High Energy and Particle Physics
2009
Print ISBN: 978-3-527-40691-3
Smirnov, B.M.
Cluster Processes in Gases and Plasmas
2010
Print ISBN: 978-3-527-40943-3
Stacey, W.M.
Fusion
An Introduction to the Physics and Technology of Magnetic Confinement Fusion, 2nd edn
2010
Print ISBN: 978-3-527-40967-9

Dr. Gérard Belmont
CNRS Lab de Physique des Plasmas/Ecole Polytechnique
Dr. Roland Grappin
CNAP
Lab de Physique des Plasmas/Ecole Polytechnique
Dr. Fabrice Mottez
CNRS
LUTH/Observatoire de Paris-Meudon
Dr. Filippo Pantellini
CNAP
LESIA/Observatoire de Paris-Meudon
Dr. Guy Pelletier
Université Joseph Fourier LAOG/Observatoire de Grenoble
All books published by Wiley-VCH are carefully produced. Nevertheless, authors, editors, and publisher do not warrant the information contained in these books, including this book, to be free of errors. Readers are advised to keep in mind that statements, data, illustrations, procedural details or other items may inadvertently be inaccurate.
Library of Congress Card No.:
applied for
British Library Cataloguing-in-Publication Data:
A catalogue record for this book is available from the British Library.
Bibliographic information published by the Deutsche Nationalbibliothek
The Deutsche Nationalbibliothek lists this publication in the Deutsche Nationalbibliografie; detailed bibliographic data are available on the Internet at http://dnb.d-nb.de.
©2014WILEY-VCHVerlag GmbH& Co. KGaA, Boschstr. 12, 69469 Weinheim, Germany
All rights reserved (including those of translation into other languages). No part of this book may be reproduced in any form – by photoprinting, microfilm, or any othermeans – nor transmitted or translated into a machine language without written permission from the publishers. Registered names, trademarks, etc. used in this book, even when not specifically marked as such, are not to be considered unprotected by law.
Print ISBN 978-3-527-41074-3
ePDF ISBN 978-3-527-65625-7
ePub ISBN 978-3-527-65624-0
mobi ISBN 978-3-527-65623-3
oBook ISBN 978-3-527-65622-6
Gerard Belmont works as a “Directeur de Recherches” at the French CNRS for twenty years. He is a specialist of collisionless media, and their description through kinetic and fluid theories.
Roland Grappin is Astronomer at the Paris Observatory since 1979. His scientific activity covers turbulence in fluids and plasmas, dynamics of the solar wind, corona and transition region.
Fabrice Mottez is a scientist at the Paris Observatory. He has devoted his career to collisionless space plasmas, the terrestrial and Jovian magnetospheres, fundamental plasma physics, and numerical simulation.
Filippo Pantellini is a scientist at the Paris Observatory. His main research fields cover the theoretical and numerical investigation of collisionless and weakly collisional space plasmas, with a particular interest for the solar wind and the solar corona.
Guy Pelletier is a professor at the University Joseph Fourier in Grenoble.He founded the theoretical group of the Laboratory for Astrophysics. He accessed to all the levels of professorship and got the status of Emeritus Professor in 2009.
A plasma is an assembly of charged particles, making its behavior inseparable from that of the electromagnetic field. When a plasma includes neutrals and when the collisions are numerous enough between charged and neutral particles, it causes the plasma to behave more like a neutral gas. This book will focus on the fully ionized plasmas, so emphasizing more the specific plasma properties.
Plasma evolution is governed by a loop: the charged particles move under the effect of the electromagnetic fields, and the particles, by their density and their velocities, create collective electromagnetic fields. This is true for any kind of plasma, collisional or not, fully ionized or not, and whatever the plasma and field parameters.
This “plasma loop” is sketched in Figure 1.1. One can observe on this sketch that two subloops can exist.
The general loop of Figure 1.1 can exist even with negligible collisions and with negligible displacement current. It is clear from this that in these conditions, any plasma evolution, for instance, any plasma wave, must always involve both kinds of evolution: particle and fields. In neutral gas like air, we are familiar with an almost complete separation between electromagnetic waves (light, radio, and so on), only involving E and B, and sound waves, only involving the gas properties like mass density ρ, fluid velocity u, and pressure P. This separation is of course prohibited in a plasma.
Figure 1.1 The plasma loop. The electromagnetic fields indicated in the sketch are the “collective” ones, that is, where the collision fields have been subtracted. The shaded areas concern, respectively, the electromagnetic subloop and the collisional subloop, which can exist in the absence of charged particles, but which are then not coupled to each other.

The sketch of Figure 1.1 makes use of the notion of a “collective field”. This notion will be defined in detail, but how can it be understood first from an intuitive point of view? In a small volume, the difference between the electron and ion densities makes a collective charge density which is a source for the electrostatic field, and the difference between their mean velocities makes a current which is a source for the magnetic field and the induced electric field. This loop is the intrinsic plasma loop. The displacement current, if not negligible, is never essential: it is just an additional complication to the fundamental phenomenon. Similarly, the presence of collisions is not essential to plasma phenomena, even if they bring specific properties to the plasma, which can allow for simplified modeling.
The collisions, when present, insure a continuous velocity redistribution between particles. It is the reason why they can allow simplified statistical descriptions: they make the thermodynamical functions such as entropy meaningful. In the absence of collisions, on the contrary, all these notions must be used with care. This book will particularly emphasize the collisionless limits of plasmas, in order to focus on the most intrinsic properties of the plasmas and understand what the descriptions are that remain valid without collisions and those which are specific to the collisional hypothesis.
The question of the collisionless limit is particularly crucial when considering the so-called fluid models. These models, such as MHD (magnetohydrodynamics), allow describing the plasma with a small number of macroscopic parameters, typically density, fluid velocity and pressure. Such a description is of course a huge reduction if compared to the description of all individual particles, but it is still an extremely big reduction with respect to the kinetic one, which describes the particle populations by their distribution function f (v), that is, the density of probability of each velocity in small volumes. This reduction is, however, necessary, for computation time reasons, for any complex problem, in particular large scale and 3D. The validity of the fluid models is well established in the collisional case, but not in a general manner in the collisionless one. It is, therefore, important to understand what is universal in these models and what has to be questioned. We will show that all the weaknesses of these models lie in the so-called closure equation and emphasize the consequences of different choices for this equation.
Figure 1.2 Principles of the fluid and kinetic methods in the case of an initial value problem. Note that, if the moments ρ, u, P, can always be calculated from the distribution function f (v), the opposite is not feasible without strong hypotheses.

Figure 1.2 shows the two main methods for modeling the behavior of a particle population. Both methods assume that one knows a valid kinetic equation, that is, a differential equation which describes the variations of the distribution function f (v) with time t and space r. In a collisionless plasma, this equation is the “Vlasov equation.” In a collisional plasma, several equations such as the Boltzmann equation, can be used depending what approximate modeling has been adopted to describe the collisions.
Supposing, for instance, that we have to solve an initial value problem, the principles of the two methods are as follows:
For comparing the two methods, first one has to know the relationship between the “fluid moment” system and the original kinetic equation. We will show that all the equations of this system, except one, can be derived directly from the kinetic equation by integration. These moment equations are, therefore, as exact as the initial kinetic equation and do not introduce any further approximation with respect to it. Nevertheless, we will see that the systematic integration actually provides an infinity of moment equations (continuity equation, transport of momentum, pressure, and so on), but that each of them relate the moment of order n to the moment of order n + 1 (for instance, the pressure temporal variations to the heat flux spatial ones). For this reason, for solving a closed system with a finite number of equations, one is obliged to add a “closure equation”, which is not obtained by integration. This is where all the approximation lies.
Another difference between the two methods has to be outlined, however: the fluid method supposes that the moments are known in the initial condition, while the kinetic one demands that the full distribution function is known. This makes a big difference. If only the initial moments are known, the later evolution is a priori not unique since a finite number of moments does not determine a unique distribution function. We will see that some evolutions are much more probable than others, but it is clear from this remark that, whatever the closure equation, the fluid method selects a particular class of distribution function perturbations. We will show in Chapter 5 that this point is crucial to understand why waves in a collisionless plasma are always damped with ordinary initial conditions (Landau damping [13]).
This book intends to be a basic textbook of plasma physics, and it, therefore, covers most classical topics of the domain, such as turbulence (weak/strong), magnetic reconnection, linear waves, instabilities, and nonlinear effects. In each domain, it starts from zero and tries to lead in a self sufficient manner to a view in accordance with the 2013 state of the art. Its main specificity is, however, to pay particular attention, in each domain, to the collisionless limit and the consequences of the different modelings, fluid or kinetic in this case. Many kinetic results in the collisionless limit may appear counterintuitive. For instance, it may appear surprising that the nondissipative Vlasov equation always leads to a damping of the waves; it is surprising as well to find a heat flux in the low solar corona, in a sense opposite to the temperature gradient. The main reason for all these surprises, is that our intuition, for many fundamental physical notions such as irreversibility, has been built in the more usual strongly collisional limit. This makes separating the universal concepts from those that are linked to this limit difficult. These basic notions, for this reason, are specially developed in the book, beginning with the nontrivial notion of collision and of mean free path in a plasma.
The book is designed for an audience of students and researchers. Those who discover the domain should find the essential basic notions. Those who already know them should find the necessary perspective to approach some profound questions concerning the collisionless limit. The book should also help understanding the necessary compromises to be made for modeling plasmas in different circumstances, the global fluid modeling being often necessary to complement the kinetic one, the latter being easily handleable only at small scales and for simple geometries such as 1D.
Most of the examples of the book for illustrating the theoretical concepts are taken in space physics (planetary magnetospheres) and in solar wind. Some others examples concern more remote astrophysical objects (see, for instance, Chapter 8). This choice of “natural plasmas” has been done for insuring homogeneity of the book and respecting the specialties of the authors. However, these examples must be understood only as illustrations. The concepts that are so illustrated are universal and of course not limited to them. Researchers working on laboratory plasmas, in particular, on magnetic confinement for nuclear fusion, are expected to find their interest as well in the presentation.
Most of the baryonic matter in the universe resides in the stars, whose hot interiors are made of plasma. Apart from the coolest ones, most star atmospheres are made of plasmas, as are their coronas. The outer parts of stellar coronas are made of tenuous plasmas generally in expansion, called stellar winds. Some of the gas clouds in galaxies can be ionized by neighboring stars. This is the case in the HII regions, forming vast clouds of hot and tenuous hydrogen rich plasmas. On a larger scale, in clusters of galaxies, the development of X-ray astronomy has revealed huge clouds of hot plasma filling the space between the galaxies.
If most of the planetary materials are made of neutral atoms and molecules, their nucleus is composed of a very dense nucleus of degenerate plasma partly supported by the Fermi pressure of free electrons. On the opposite side, the outskirts of the planetary atmospheres are an ionosphere, and possibly a magnetosphere, made of dilute plasmas in interaction with the wind of their star.
The physics of the fully ionized collisionless plasmas is the key element to understanding the corona and wind of stars (including the Sun), the magnetosphere of the planets, and a large variety of shock waves present in various astrophysical contexts.
The lower layers of a star atmosphere are made of collisional plasma, and the ambient magnetic field has a complex structure involving many scales. It is often represented as a global simple magnetic field superimposed with a multiplicity of open or closed magnetic flux tubes. Some groups of magnetic flux tubes can be isolated, and constitute relatively coherent systems dominated by the plasma pressure forces and the magnetic field. Both the plasma and the magnetic fields evolve; they constitute a dynamical system.
It is not possible to measure directly the magnetic field in the star magnetosphere (it is only possible on the photosphere). Therefore, analytical and numerical models play an important role in their study. The models are generally based on the theory of dissipative plasmas, and the dissipation is attributed to collisions.
As the distance to the star increases, the density is reduced, while the temperature tends to increase (above the chromosphere) and then remains at a high level (typically 106 K). Therefore, farther from the star, the magnetosphere is less and less collisional. At the altitude where the magnetic flux tubes are open, the plasma flow velocity is high and supersonic; it is called a stellar wind. The solar wind is a collisionless plasma. With spacecrafts, in situ measurements of the magnetic field of waves, chemical composition and particle distribution functions have been performed down to sun distances of 0.3 au. As far as it has been measured, the solar wind was always supersonic and faster than MHD waves (see Section 5.1) and noncollisional.
From a theoretical point of view, the boundary conditions that define a star corona are a hot and collisional plasma with a generally complex magnetic field at its base, and a fast expanding plasma wind expanding into the interstellar medium on the other side. The star rotation must be taken into account for the consideration of the overall structure of the magnetosphere.
As soon as a stellar wind meets another kind of medium, there is an interaction that is preceded by a shock, as long as the difference of velocities between the wind and the object exceeds the speed of sound and/or MHD waves. In collisionless plasmas, shock waves do not have visual signatures, but they can be radio emitters. Therefore, some of them can be studied remotely. In the solar wind, shock waves happen when a stream of fast wind reaches a slower one. They also develop upstream of planets or comets, provided that they are surrounded by an atmosphere. The shocks upstream of a solid obstacle are called bow shocks. The bow shock of the Earth is at a distance of about 10 earth radii, in a purely collisionless plasma. Bow shocks upstream of nonmagnetized planets such as Mars or Venus are, along the Sun–planet direction, very close to or inside the ionosphere that is a collisional plasma.
Figure 1.3 Shells of magnetic field lines (starting at the same magnetic latitude from the Earth’s surface) showing various regions of the Earth’s magnetosphere. The solar wind comes from the left-hand side. Image: courtesy of Bruno Katra, computed with the model [1].

Far from the Sun, the interface between the solar wind and the interstellar plasma is expected to include two shock waves. One has already been crossed by the Voyager 1 and 2 spacecrafts. This interface is called the heliopause.
The phenomenology of collisionless shocks is associated with particle acceleration, radio wave emissions and turbulence. They also exist on the borders of fast plasma flows associated with the remnants of supernovae. These shocks are potential sources of galactic cosmic rays (see Chapter 8).
From a theoretical point of view, planetary magnetospheres are the interface between a rotating spherical and magnetized body with a conducting surface (usually an ionosphere) and a stellar wind. The Earth and all the giant planets (Jupiter, Saturn, Uranus, Neptune) have a magnetic field; they are all surrounded by a magnetosphere. The largest magnetosphere in the solar system is that of Jupiter. It itself contains the smaller magnetosphere of its magnetized satellite Ganymede.
The most explored magnetosphere is, of course, that of the Earth, represented in Figure 1.3. As with other magnetospheres, it is first preceded by a bow shock, mentioned in Section 1.2.3. Behind the bow shock is a region of fast and turbulent plasma called the magnetosheath. In the magnetosheath, the majority of the magnetic field lines are convected in the same direction as the magnetic field (see Section 1.3.1.3 for the explanation of field lines motion), and they are not connected to the Earth. Then, a sharp transition is met: the magnetopause. Behind the magnetopause, all the magnetic field lines are connected to the Earth, at least on one end.
Figure 1.4 Shells of magnetic field lines (starting at the same magnetic latitude from the Earth’s surface). A cut is made in the plane perpendicular to the solar wind direction. The white arrows represent the current density direction in the current sheet. On the dusk side, the low latitude boundary layer, which bounds the current sheet, is shown. There is a similar boundary on the dawn side. Image: courtesy of Bruno Katra, computed with the model [1].

The region enclosed by the magnetopause is properly called the magnetosphere. The magnetopause has a few singularities, where magnetic field lines connected in these regions to the Earth can easily (from a topological point of view) be connected to solar wind field lines. The most well known are the polar caps, but there are also the flanks of the magnetopause at low latitude, also called the low latitude boundary layer (Figure 1.4). The magnetosphere has an asymmetric profile. On the dayside, its extent is of the order of 10 earth radii. On the nightside, the magnetosphere is very elongated, forming the magnetotail. Two vast regions, where the magnetic field is almost aligned with the Earth–Sun direction, on the northern and southern sides have a very low density, and are called the lobes. The lobes are among the least dense regions of the solar system (about 0.1 particle/cm3). Between the two lobes is a region of inversion of the direction of the magnetic field; it is the neutral sheet (see Figure 1.4). Because an electric current oriented in the east–west direction supports this magnetic field inversion, it is also called the current sheet. But this region is also much denser than the lobes, and it is called the plasma sheet. The various names of this region are a token of its importance in regards to the physics of the magnetosphere.
Closer to the Earth, and at low latitudes (below the polar cap) there is a denser region of plasma that corotates with the Earth, called the plasmasphere. The inner boundary of the plasma sheet is close to the nightside of the plasmasphere boundary, at a distance of about 6–10 earth radii. At higher latitudes, in a region where the magnetic field lines are still connected to the magnetotail, there is an occasional plasma acceleration that causes polar auroras on the ionosphere. This area (from the ionosphere up to a few earth radii of altitude along the field lines) is called the auroral region. At even higher altitudes, the plasma is connected to the solar wind via open field lines, in the polar cap and the cusp regions.
At the distance of the giant planets the solar wind is weaker (especially because of its density varying as d−2 where d is the Sun-planet distance). It, therefore, exerts a weaker pressure than on the Earth. Planetary rotation is another source of energy. For Jupiter, with a 10 h rotation and a strong magnetic field, the effect of the rotation dominates those of the solar wind. The plasma in corotation extends quite far from the planet, and the particles inertia in the rotating motion favors the settlement of an extended ring current region.
A ring current also exists around the Earth and is associated with the magnetospheric compression by the solar wind; therefore, its origin is of a different nature than fast rotating planets.
The Maxwell equations describe the time and space variations of the electromagnetic field due to its sources: the charge density
and the current density j. In classical physics and in special relativity, the electromagnetic field can be split into two different fields, the electric field E and the magnetic (or induction) field B. The four Maxwell equations relating their variations are respectively called the Maxwell–Gauss, Maxwell–Ampère, Maxwell–Faraday, and divergence-free equations, and they are:
(1.1) 
(1.2) 
(1.3) 
(1.4) 
The constants ε0 et µ0 are called, respectively, the “dielectric permittivity” and “magnetic permeability” of the vacuum, and they appear in the Gauss and Ampère equations, which explicitly relate the fields to the Q and j sources. They are linked by the relation: ε0µ0c2 = 1, which makes the constant c (speed of light) enter the system. In the Maxwell–Ampère equation, the term ∂t(ε0 E) is called the displacement current. The pure “Ampére equation”, applicable in magnetostatic fields, does not include this term. Nevertheless, in short, we use here the name “Ampère equation” even in the nonstationary case.
In vacuum, the source terms Q and j are zero and the electromagnetic field is made of harmonic functions of space for each field, superposed with a linear superposition of electromagnetic waves propagating with the speed c. When sources are present (in particular in plasmas), the charge density changes the electric field, adding an “electrostatic” component; the electric current modifies the magnetic field and also the electric field via an “induced” component (whenever the magnetic field varies in time). The two kinds of sources are always related by the equation of charge conservation:
(1.5) 
This equation can of course be derived from the equations of motion of the source charges, but also from the above Maxwell equations (divergence of Eq. (1.2) and temporal derivative of Eq. (1.4)), which outlines the necessary consistency between the electromagnetic fields and its sources.
From the Maxwell equations, an equation can be derived for the electromagnetic energy:
(1.6) 
It relates the temporal variations of the electromagnetic energy
(1.7) 
to the divergence of the Poynting flux vector (energy arriving through the boundaries of a volume):
(1.8) 
and to the term – j · E, which represents the energy exchanges in volume between the electromagnetic field and the matter (for example the plasma).
The last two Maxwell equations (Faraday and divergence-free) are independent of the sources. They can usefully be integrated once, the former with respect to time, the latter with respect to space. This allows replacing the original fields E and B by two other functions: the scalar and vector potentials, Ф and A, defined as:
(1.9) 
(1.10) 
With this formalism, the two last Maxwell equations are automatically satisfied and the first two (Gauss and Ampére) become:
(1.11) 
(1.12) 
The potentials are prime integrals of the original fields; therefore, they are not unique. Each particular choice is characterized by a “gauge”. The two most famous ones are called the Coulomb and Lorentz gauges. The Coulomb gauge is the simplest. It is defined by:
(1.13) 
With this choice, Gauss and Ampère equations simplify into:
(1.14) 
(1.15) 
In this gauge, the scalar potential is simply a solution of a Poisson equation (no propagation involved for Ф).
The Coulomb gauge is invariant in the nonrelativistic case (it keeps the same form in any inertial frame change), but not in relativity. The Lorentz gauge has better properties in this respect. It is defined by:
(1.16) 
It is slightly less simple, but it has the great advantage of dissociating Ф and A in their relations with the source terms. Indeed, Gauss and Ampère equations become in this case:
(1.17) 
(1.18) 
In vacuum, the potentials defined in the Lorentz gauge just propagate at speed c. Moreover, this gauge is indeed invariant by any inertial frame change.
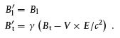
The Maxwell equations are invariant in any change of reference frame, but the fields are not. In the nonrelativistic case, going from a frame R to a frame R′ moving at a velocity V relative to R, the fields change as:
(1.19) 
(1.20) 
In special relativity, one has to distinguish between the directions longitudinal and transverse relative to the velocity V of the frame change (respectively subscripts l and t):
(1.21) 
(1.22) 
In these relations, the constant c (speed of light) appears explicitly, and also through the relativistic Lorentz factor
. It can be noted that the nonrelativisticcase (V
c) corresponds to taking γ = 1 and neglecting V×E/c2 relatively to Bt.
Like the original fields, their first integrals, the potentials Ф and A are changed by a frame change. In the nonrelativistic case, they become:
(1.23) 
(1.24) 
In special relativity:
(1.25) 
(1.26) 
(1.27) 
Finally, in the same referential change, the source terms become, in the nonrelativistic case:
(1.28) 
(1.29) 
and in special relativity:
(1.30) 
(1.31) 
(1.32) 
An important remark has to be made concerning Eqs. (1.28) and (1.30). As usual, the nonrelativistic case derives from the relativistic one by taking γ = 1. But it must be emphasized that the term jl V/c2 exists in both relativistic and nonrelativistic cases: this term cannot be neglected with respect to Q in general. Neither the current nor the charge density remain invariant in an inertial referential change. The change in charge density at zero order in V/c is actually consistent with the change in electric field: its electrostatic part appears due to the appearance of the electric charge.
These changes of reference frame are exact when V is a time invariant uniform velocity. When V = V(t) is variable, one has to associate, at every time t, a tangent change of reference frame associated with the instantaneous value of V(t). In that case, the local equations can be still used. This is the case in Eqs. (1.19)–(1.22). (Because V is a parameter of the Lorentz transform, it is considered local.) When the derivatives (charge and current densities) or integrals (potentials) are considered, the corresponding derivatives and integrals of V can introduce terms that do not appear in the above formulas. This is illustrated in Section 1.3.1.4 where the case of a rotating plasma is considered.
The Maxwell equations involve the constant parameter c, which has the dimension of speed. But there is actually another speed which derives directly from the fields themselves:
(1.33) 
This velocity can be called the “magnetic velocity” since, locally, the electric field is zero in the frame moving at vm; this means that the electromagnetic field is purely magnetic in this frame. This property gives to the velocity vm a major importance in plasma physics. In particular, in a quasi-homogeneous field, it is known that the particles rotate with a negligible drift velocity in this frame. This means that they follow, on average, the magnetic motion so defined. This is the origin of the so-called ideal Ohm’s law used in MHD (see Chapter 3).
From the purely electromagnetic point of view, the magnetic velocity is also important for allowing, in certain circumstances, to define a “magnetic field line motion”. The magnetic field is indeed often represented by its field lines. They are by definition tangent to B. In rectangular coordinates they are the solutions of
(1.34) 
They can always be defined at any time and any point (except at the null points, that is points where B = 0, if any). The concept of “magnetic field line motion” is meaningful in all cases when the lines are equipotential, that is when the component E
parallel to the magnetic field is zero all along of them. In these conditions (and even in conditions slightly more general, see next section), one can prove that the field lines “move at velocity vm”. This means that if all points of a given line are moved at velocity vm, they still are all on the same field line at any time later. In the limits of validity of the condition E
= 0, it is, therefore, a usual – and quite useful – concept to consider that the line at different times is the same, which just moves. In this way, one gives an identity to the field lines, which can be viewed as kinds of “rubbers” moving and deforming. This concept is particularly important when studying low frequency fluctuations in a plasma (“MHD range”). This property of “freezing” of the field lines in the velocity field vm is purely electromagnetic since no plasma parameter is involved, neither in the velocity definition nor in the demonstration (Maxwell equations are sufficient). Nevertheless, the condition of validity E
= 0 is actually imposed – or not – by the plasma. We will see in Chapter 3 that this condition is actually verified in a plasma at sufficiently large scales.
It can also be noted that the velocity vm is collinear and close (within a factor of 2) to the velocity of propagation Vem of the electromagnetic energy Eem. The relation between vm and Vem is evident if the Poynting flux, which is defined as S = E × B/µ0 is written as S = VemEem, with Eem = ε0 E2/2 C B2/2µ0.
Proof that the field lines move at velocity vm when E
= 0. Let δl be a vector that connects two points P1 and P2 located on the same field line and separated by an infinitesimal distance. Because δl is parallel to the magnetic field, C = δl × B = 0. If this vector can be shown to be invariant in motion at velocity vm, this will prove that δl is always parallel to B, and, therefore, that P1 and P2 will remain on the same field line. Noting Dt = ∂t + vm · ∇, one has:

The first term can be expressed thanks to the definition of Dt:

The second term can be expressed thanks to Faraday’s equation:

Using the definition of vm, one can express the electric field E as:

Replacing E by this expression and developing the curl of the cross product as explained in Appendix A.1, a little algebra provides:
(1.35) 
(1.36) 
The vector b is the unit vector of the field line. The sum of the two equations finally provides the variation of C we were looking for:
(1.37) 
We can, therefore, conclude that E
= 0 is a sufficient condition to get the freezingin property of the field lines in the vm velocity field: if P1 and P2 move with the magnetic field velocity vm, they remain on the same field line. The condition δl × (∇ × E
) = 0, more general and slightly less restrictive, is rarely used because, if the condition E
= 0 is often satisfied at large scale in a plasma because of the electron motion, there is no such physical justification for the more general condition.
The magnetized bodies in rotation, such as planets or stars, are ubiquitous in the universe. Their magnetic field generally comes from an internal “dynamo” source, but it can also be remnant fields in some occasions. These bodies are generally embedded in plasmas of external origin and one is justified to ask whether these plasmas will remain insensitive to the body rotation or if they will be drawn into this rotation. As shown in Chapter 3, the plasma always follows, at large scale, the “magnetic motion” vm of the field lines. Near the body surface, the magnetic field is generally rigidly anchored to it; consequently, the plasma can be considered in corotation with the magnetized body. Let us first see the consequences of the corotation of a plasma with a magnetized body.
The notion of corotation. Let Ω be the body rotation velocity. The corotating plasma has a velocity V = Ω × r. Because the magnetic field lines (close to the body) follow the same motion, V is also the motion of the magnetic field lines defined in Eq. (1.33). This sets the existence of the so-called corotation electric field,
(1.38) 
This is the electric field that an observer would see in the inertial frame of reference where the body velocity is null.
It is important to mention at this point that if corotation is generally assumed at very close distance to the body, it is not granted at a larger distance. Even when the plasma moves with the magnetic field line velocity vm, this velocity can be different from the corotation velocity Ω × r, provided that the plasma has an appropriate retroaction on the shape of the magnetic field lines. It is shown in Section 1.3.3.3 that even in vacuum, the shape of the magnetic field lines depend on the rotation rate Ω of the body; therefore, it is easy to understand that this happens too with a plasma.
Terrestrial magnetosphere and ionosphere. Most of the Earth’s ionosphere is in corotation. This means that the plasma in the ionosphere is exposed to the same alternation of nights and days as the Earth’s surface. When the ionosphere is exposed to sunlight, the UV increase the ionization rate, while it is zero at night. In the range of altitudes above 400 km, the recombination rate of the ions is low in comparison to the duration of the night, and the plasma density of this ionospheric layer remains roughly constant. But in the range of 60–350 km, the recombination rate is higher, and the ionospheric plasma content at these altitudes varies periodically with the same period as the Earth’s rotation with a minimum in the morning hours.
Above the ionosphere, in the range of latitudes ~ ±60°, the plasma is trapped along closed magnetic field lines. The plasma filling this region has escaped from the ionosphere. It is cold (T ~ 1 eV) in comparison to the T ~ 102 – 104 eV plasma found in the solar wind and other regions of the magnetosphere. It is in corotation with Earth. As with the ionosphere (also in corotation), it is asymmetric relative to local time. Its extension is typically 7 RE on the evening side after having been refilled with ionospheric plasma, and 4 RE on the morning side (after spending a night above a less dense and colder ionosphere). The plasma there is denser than anywhere else in the magnetosphere. This zone of corotating plasma is the plasmasphere. On the nightside of the Earth, the plasmasphere ends where the magnetotail begins. Compared to the magnetotail, the plasmasphere is a rather quiet region. The auroras observed in the midnight sector are magnetically connected to the magnetotail, therefore, at magnetic latitudes above those of the plasmasphere.
Other magnetospheres. Other magnetospheres contain a plasma in corotation. Actually, most of the magnetosphere of Jupiter is in corotation. More precisely, it is subcorotating. This means that the main component of the plasma velocity is Ω′(r) × r, with Ω′(r) close to but smaller than the angular velocity Ω of the planet. The plasma corotating with Jupiter contains the orbit of the closest Galilean satellite, Io, situated at a distance of six Jovian radii from Jupiter’s surface. The observations tend to show that Jupiter’s main auroral oval corresponds to the interaction of the (sub) corotating region with the noncorotating plasma.
From Eq. (1.1) and the Maxwell–Gauss equation, a charge density can be associated with the corotation electric field,
(1.39) 
(We notice that the first term would not appear with a direct application of Eq. (1.28). This is because the charge density equation is not local, and the space derivative of the velocity V, supposed null in Eq. (1.28), has been taken into account.) Considering the Maxwell–Ampère equation, and the fact that the partial time derivative of E is orthogonal to r × Ω, for a magnetic field that is not associated with an electric current (for instance a dipole field, see Section 1.3.3.1), we find the Goldreich–Julian density
(1.40) 
For Jupiter, this corresponds to a particle density Q/e ~ 10−28 cm−3 that is totally negligible. That is not the case with pulsars: they have a fast rotation rate (with a period of 1 s or less) and a strong magnetic field (typically 108 T) and the Goldreich–Julian charge density can correspond to an excess of 1016 electrons or positrons/m3. The pulsars illustrate the fact that a plasma in corotation around a highly magnetized fast rotating body is nonneutral.
There is an absolute limit to the size of a corotation region, called the light cylinder radius RLC = c/Ω. This is the distance at which the corotation velocity would be the speed of light. For all the objects in the solar system, RLC is much larger than their magnetosphere. In the case of pulsars, the light cylinder is well inside the magnetosphere. In most models, it defines broadly the frontier between the inner magnetosphere, with a mixture of corotation and poloidal motion, and the wind, where the plasma motion is mostly radial.
Usefully, the electric and magnetic fields can be considered, as any vector fields, as the sum of an irrotational (or longitudinal) component, and of a solenoidal (or transverse) component:
(1.41) 
These components are defined by:
(1.42) 
(1.43) 
The names “solenoidal” and “irrotational” are the most general ones. They are here often replaced by “transverse” and “longitudinal” by reference to the simple case of plane variations. These names are then defined with respect to the gradient (for example, the wave vector for a plane wave). It must not be confused with their use in the above section where “transverse” and “longitudinal” are defined with respect to the relative velocity between two different reference frames.
The Faraday equation involves only the transverse fields; the divergence-free and Gauss equations involve only the longitudinal ones. The Ampère equation can be applied separately to the two components. The Darwin approximation (see Section 1.3.10) is based on this decomposition of the electric field:
(1.44) 
(1.45) 
Many wave properties can be analyzed in terms of this longitudinal and transverse decomposition.
Plasma physics is a coupled system involving electromagnetic fields and charged particles. To better understand how the charged particles rule the electromagnetic field, it is worth recalling what are the properties of this field in the absence of particles, that is, in vacuum. This corresponds to the absence of second members of Maxwell equations: Q = 0 and J = 0.
Because of the absence of charge and current density, one has: ∇ · E = 0 and ∇ × B = 0. For static fields, one has also: ∇ · B = 0 and ∇ × E = 0, which show that electric and magnetic fields have the same properties. Then, both fields can be treated as gradients of scalar fields E = −∇Ф and B = ∇ ψ.
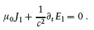
For astrophysical spherical bodies (planets, stars), it is often useful to approximate at large distance the magnetic field as a dipole field. In spherical coordinates, B derives from ψ = M cos(θ)/r2. Then Br = −2M cos(θ)r−3, Bθ = −M sin(θ)r−3, Bø = 0, and B = Mr−3[1 + 3sin2(θ)]1/2. A magnetic field line obeys the equation r = RB sin2(θ)/ sin2(θ0) where RB is the body radius and θ0 determines a particular field line. The radius of curvature of the magnetic field lines is:
(1.46) 
At the equator (λ = 0), the curvature radius is a third of the distance to the dipole center.
Time dependent electromagnetic fields are the solutions of vectorial d’Alembert equations, directly deriving from Ampère and by the Faraday’s laws.
(1.47) 
Looking for sinusoidal plane waves, these equations lead to ω2/(k2c2) = 1, showing that these perturbations propagate at the speed of light in any direction. Going back to the original Ampère and Faraday’s laws, it is easy checking that their amplitudes also have the following properties: E0 = cB0, k · E0 = 0, k · B0 = 0 and E0 · B0 = 0. As all plane waves can be described as the sum of sinusoidal functions (linear equations), all plane waves have these same properties. For each particular sinusoidal solution, the amplitudes and the phases of E or B determine the polarization.
Magnetized planets and stars are generally considered as conducting bodies in rotation. We have seen in Section 1.3.1.4 what happens when they are surrounded by a corotating plasma. We now examine the situation when there is no plasma in their environment, apart from a conducting plasma rotating with the body on its surface. In this simpler case, it is possible to compute the magnetic field far from the surface of the body.
The magnetic field near the surface is approximated as an inclined dipole making an angle I with the rotation axis. It turns with a frequency Ω that is equal, or closely related, to the spin frequency of the body. On the surface, the material is a conductor that behaves like a corotating plasma (it can be a thin ionosphere for planets, or a metal crust for pulsars). Therefore, there is a corotation electric field. Because the body is not surrounded by a plasma, the electromagnetic field outside is a solution of Eq. (1.47). The time derivative in Eq. (1.47) is caused by the rotation with a frequency Ω; it is:
(1.48) 
The characteristic length RL = c/Ω is called the light cylinder radius. It is the distance, projected onto the equatorial plane, at which the corotation speed would equal the speed of light.
Figure 1.5 The azimuthal component of the magnetic field associated with a rotating conducting sphere with a dipole. The grey level scale represents log
Bø
. (The minimal value –4 is set arbitrarily when Bø becomes smaller.) The tilt angle between the magnetic and rotation axes is 50°, the star’s radius is 104 m, and its rotation period is 10 ms. We can notice spiral shaped regions separated by a zone of low Bø value. On each side of these low magnetic field regions, the sign of Bø changes. The thickness of these spiral shaped regions is 2πRLC. This computation is based on the full solution, and not only the asymptotic solution. (a) log
Bø
on a meridional plane (relatively to the rotation axis). The vertical axis z is the rotation axis. (b) log
Bø
on the equatorial plane.

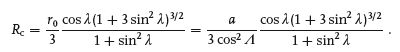
The complete calculation of the solution is rather tedious but can be completed fully analytically making use of spherical harmonics. At large distances r
RL, the result can be put under the simplified form:
(1.49) 
This solution, displayed in Figure 1.5, is clearly not a plane wave. We have noted R the radius where the boundary solutions are defined (close to the star’s surface). The electromagnetic field at these boundary conditions has been supposed to be a magnetic dipole Bs, inclined by an angle I over the rotation axis, associated with the corotation electric field E = − (Ω × r) × Bs. The continuity of the vertical magnetic field component, and of the horizontal electric field components are the constraints put on the electromagnetic field in vacuum and on the body surface: the vertical magnetic field is the same as for the dipole, the horizontal electric field is the same as for the corotation electric field. The phase Ф of the star rotation is defined as:
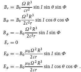
(1.50) 
From the above results, it can be checked that E and B vectors are perpendicular and that the wave radiates energy away at the rate
(1.51) 