Series Editor
Nikolaos Limnios
Edited by
Solym Mawaki Manou-Abi
Sophie Dabo-Niang
Jean-Jacques Salone

First published 2020 in Great Britain and the United States by ISTE Ltd and John Wiley & Sons, Inc.
Apart from any fair dealing for the purposes of research or private study, or criticism or review, as permitted under the Copyright, Designs and Patents Act 1988, this publication may only be reproduced, stored or transmitted, in any form or by any means, with the prior permission in writing of the publishers, or in the case of reprographic reproduction in accordance with the terms and licenses issued by the CLA. Enquiries concerning reproduction outside these terms should be sent to the publishers at the undermentioned address:
ISTE Ltd
27-37 St George’s Road
London SW19 4EU
UK
www.iste.co.uk
John Wiley & Sons, Inc.
111 River Street
Hoboken, NJ 07030
USA
www.wiley.com
© ISTE Ltd 2020
The rights of Solym Mawaki Manou-Abi, Sophie Dabo-Niang and Jean-Jacques Salone to be identified as the authors of this work have been asserted by them in accordance with the Copyright, Designs and Patents Act 1988.
Library of Congress Control Number: 2019952987
British Library Cataloguing-in-Publication Data
A CIP record for this book is available from the British Library
ISBN 978-1-78630-454-4
In order to identify mathematical modeling and interdisciplinary research issues in evolutionary biology, epidemiology, epistemology, environmental and social sciences encountered by researchers in Mayotte, the first international conference on mathematical modeling (CIMOM’18) was held in Dembéni, Mayotte, from November 15 to 17, 2018, at the Centre Universitaire de Formation et de Recherche. The objective was to focus on mathematical research with interdisciplinarity.
This book aims to highlight some of the mathematical research interests that appear in real life, for example the study of random and deterministic phenomena. It also aims to contribute to the future emergence of mathematical modeling tools that can provide answers to some of the specific research questions encountered in Mayotte. In Mayotte and its region, including the coastal zone of Africa, climate change has impacted ecological, biological, epidemiological, environmental, social and natural systems. There is an urgent need to use mathematical tools to understand what is happening and what may happen and to help decision-makers. The modeling of such complex systems has therefore become a necessity, in particular, to preserve the ecological, environmental, economic, social and natural environments of Mayotte. Mayotte is, in fact, a research laboratory, where the scientific fields converge. The CIMOM’18 conference was an effective opportunity to present not only recent advances in mathematical modeling, with an emphasis on epidemiology, ecology, the environment, evolution biology and socio-economic issues, but also new interdisciplinary research questions.
Most of the documents presented in this book have been collected from a variety of sources, including communication documents at the CIMOM’18. It contains not only chapters related to the research questions above-mentioned, but also potential mathematical modeling tools for some important research questions.
After the CIMOM’18, we invited the original authors (or speakers) to write journal articles to provide contributions on these questions, with a common structure for each chapter, in terms of pointing out mathematical models, illustrative examples and applications on advanced topics, with a view to publishing this Wiley Mathematics and Statistics series book. Each chapter has been reviewed by one or two independent reviewers and the book publishers. Some chapters have undergone major revisions based on the reviews before being definitively accepted.
We hope that this book will promote mathematical modeling tools in real applications and inspire more researchers in Mayotte and other regions to further explore emerging research issues and impacts.
Solym Mawaki MANOU-ABI
Sophie DABO-NIANG
Jean-Jacques SALONE
November 2019
This book was made possible through the collaboration of many people and institutions whom we would like to thank. The idea for its drafting was born from the organization of the international conference on mathematical modeling in Mayotte (CIMOM’18). Very quickly it became clear to us that it was necessary to write articles in the form of a collective book that could serve as a basis for the development of mathematical tools for the modeling of complex systems. Mathematics is the foundation of science, and it is essential for the economic development of a region or a country. Mayotte can, and must, participate more in access to mathematic and scientific research.
We would like to thank the Centre Universitaire de Mayotte and its Scientific Commission, the University of Montpellier and the Vice-Rectorate of Mayotte for their scientific, financial and logistical support. We would like to thank all the authors, speakers, guest speakers and people who have contributed to this beautiful project, namely: Etienne Pardoux, Benoîte De Saporta, Jean Dhombres, Abdennebi Omrane, Loïc Louison, William Dimbour, Gwladys Toulemonde, Dominique Hervé, Angelo Raherinirina, Sylvain Dotti, Éloïse Comte, André Mas, Christian Delhommé, Jean Diatta, Bertrand Cloez, Jean-Michel Marin, Aurélien Siri, Elliott Sucré, Abal-Kassim Cheik Ahamed, Laurent Souchard and all the students involved.
We also thank Nikolaos Limnios, who was the capable editor for this book. In addition to being very familiar with the subject of mathematical modeling, he was able to help us during the various stages of the book’s production. Many renowned anonymous researchers helped to review the chapters of this book and we would also like to thank them a lot.
A special thanks to Cédric Villani and Charles Torossian for their exceptional lectures at the CIMOM’18 and for supporting this project.
This book, entitled “Mathematical Modeling of Random and Deterministic Phenomena”, was written to provide details on current research in applied mathematics that can help to answer many of the modeling questions encountered in Mayotte. It is aimed at expert readers, young researchers, beginning graduate and advanced undergraduate students, who are interested in statistics, probability, mathematical analysis and modeling. The basic background for the understanding of the material presented is timely provided throughout the chapters.
This book was written after the international conference on mathematical modeling in Mayotte, where a call for chapters of the book was made. They were written in the form of journal articles, with new results extending the talks given during the conference and were reviewed by independent reviewers and book publishers.
This book discusses key aspects of recent developments in applied mathematical analysis and modeling. It also highlights a wide range of applications in the fields of biological and environmental sciences, epidemiology and social perspectives. Each chapter examines selected research problems and presents a balanced mix of theory and applications on some selected topics. Particular emphasis is placed on presenting the fundamental developments in mathematical analysis and modeling and highlighting the latest developments in different fields of probability and statistics. The chapters are presented independently and contain enough references to allow the reader to explore the various topics presented. The book is primarily intended for graduate students, researchers and educators; and is useful to readers interested in some recent developments on mathematical analysis, modeling and applications.
The book is organized into two main parts. The first part is devoted to the analysis of some advanced mathematical modeling problems with a particular focus on epidemiology, environmental ecology, biology and epistemology. The second part is devoted to a mathematical modelization with interdisciplinarity in ecological, socio-economic, epistemological, natural and social problems.
In Chapter 1, we present large population approximations for several deterministic and stochastic epidemic models. The hypothesis of constant population of susceptibles is explained through some realistic situations. After recalling the definition of SIS, SIRS and SIR models, a law of large numbers (LLN) is presented as well as a central limit theorem (CLT) to estimate the time of extinction of an epidemic and a principle of great deviation to estimate the error. This chapter then describes the principle of moderate deviations. These results are then used to deduce the critical population sizes for launching an epidemic. It explains how it can be used to predict the time taken for an epidemic to cease.
Chapter 2 is devoted to the study of non-parametric prediction of biomass of demersal fish in a coastal area, with a case study in Senegal. The inputs of the regression model are spatio-functional, i.e. the temperature and salinity of the water are depth curves recorded at different fishing locations. The prediction is done through a dual kernel estimator accounting the proximity between the temperature or salinity observations and locations. The originality of the approach lies in the functional nature of the exogeneous variables. Some theoretical asymptotic results on the predictor are provided.
Chapter 3 is concerned with the study of urban flood risk in urban areas caused by heavy rainfall, that may trigger considerable damage. The simulated water depths are very sensitive to the temporal and spatial distribution of rainfall. Besides, rainfall, owing in particular to its intermittency, is one of the most complex meteorological processes. Its simulation requires an accurate characterization of the spatio-temporal variability and intensity from available data. Classical stochastic approaches are not designed explicitly to deal with extreme events. To this end, spatial and spatio-temporal processes are proposed in the sound asymptotic framework provided by extreme value theory. Realistic simulation of extreme events raises a number of issues such as the ability to reproduce flexible dependence structure and the simulation of such processes.
In Chapter 4, we consider a problem of change-point detection for a continuous-time stochastic process in the family of piecewise deterministic Markov processes. The process is observed in discrete-time and through noise, and the aim is to propose a numerical method to accurately detect both the date of the change of dynamics and the new regime after the change. To do so, we state the problem as an optimal stopping problem for a partially observed discrete-time Markov decision process, taking values in a continuous state space, and provide a discretization of the state space based on quantization to approximate the value function and build a tractable stopping policy. We provide error bounds for the approximation of the value function and numerical simulations to assess the performance of our candidate policy. An application concerns treatment optimization for cancer patients. The change point then corresponds to a sudden deterioration of the health of the patient. It must be detected early, so that the treatment can be adapted.
The context of Chapter 5 is the nutrient transfer mechanism in croplands. The authors study the case of an additional nutrient which comes from a “service plant” (meaning a natural input), as a control function. The Nye-Tinker-Barber model is introduced with a perturbation as an unknown source of nutrient. An optimal control formulation of this problem is studied and adapted for the incomplete data case. A characterization of the low-regret optimal control is provided
In Chapter 6, basic stochastic evolution equations in long-time periodic environment are developed. Periodicity often appears in implicit ways in various phenomena. For instance, this is the case when we study the effects of fluctuating environments on population dynamics. Some classical books gave a nice presentation of various extensions of the concepts of periodicity, such as almost periodicity, asymptotically periodicity, almost automorphy, as well as pertinent results in this area. Recently, there has been an increasing interest in extending certain results to stochastic differential equations in separable Hilbert space. This is due to the fact that almost all problems in a real life situation, to which mathematical models are applicable, are basically stochastic rather than deterministic. In this chapter, we deal with a stochastic fractional integro-differential equation, for which a result of existence and uniqueness of an asymptotically periodic solution is given.
In Chapter 7, we study the existence of solutions in semilinear evolution equations with impulse, where the differential operator generates a strongly compact semi-group. The chapter generalizes a recent published work by one of the co-authors to the non-local initial condition case. In the previous work, the existence, stability and smoothness of bounded solutions for impulsive semilinear parabolic equations with Dirichlet boundary conditions, are obtained using the Banach fixed point theorem, under the classical Lipschitz assumptions.
In Chapter 8, we discuss the history and criticisms of a mathematical model, namely the diffusion of heat. The starting point is a “thought experiment” on the diffusion of heat through an infinite rectangular flat lamina. This is the path along which Fourier invented the representation of functions that bears his name; and we mainly treat the typical example of the periodic step function. Fourier thus invented the notion of proper modes, also known today as eigen modes, and found the orthogonality relations. Following Fourier, we then consider an example, the diffusion of heat in a sphere like the Earth, and come up with the required adaptation that, for the first time, allowed us to investigate the greenhouse effect. We then examine some of the criticisms related to Fourier’s representation until functional analysis was created in the 20th Century, answering various questions. Still, an interesting creation came with a critique from quantum mechanics in the 1930s, perhaps not understood as such, but which led to wavelets as developed in the 21st Century, and a remarkable new tool that can be adapted to various situations. The text, in a story form, aims to combine mathematics, physics and also epistemology in a history that is rigorous with respect for original texts; it also tries to understand the meaning of a scientific posterity for the construction of science, as well as how a thought experiment has been transformed into a realistic modeling.
The second part is dedicated to the development of interdisciplinary modeling with mathematical approaches.
In Chapter 9, we present a methodology for interdisciplinary modeling of complex systems using hypergraphs. This project begins by setting out the research stakes related to the sustainable management of mangrove forests in Mayotte: Mangroves are coastal ecosystems that have undergone global upheavals while facing a number of issues regarding biodiversity, pressures for natural hazards and attractiveness for the socio-economic development of territories. The mangroves of Mayotte thus present high stakes of preservation and management. This sustainable management is conceived in a participatory framework where, “it seems necessary for the users of the mangrove and those involved in the management of these wetlands, to exchange their experiences and knowledge further”. The author proposes an interdisciplinary system approach in ecology, geography, literature and modeling that aims at “the identification of variables” and “interactions in order to co-construct conceptual models combining societal and ecological dimensions” and “the identification of key variables to guide reflection on the sustainable management of these mangroves. The author aims to contribute to the implementing of integrated management of Mayotte’s mangroves in order to preserve them and ensure the maintenance of their ecosystem services”.
In Chapter 10, we discuss modeling of post-forestry transitions in Madagascar and the Indian Ocean by setting up a dialogue between mathematics, computer science and environmental sciences. We discuss mathematical tools, implemented to model and analyze the dynamics of complex socio-ecological systems, made up of cultivated and inhabited areas after deforestation in Madagascar.
In Chapter 11, the authors propose a descriptive analysis and a modelization of the evolution of the birth rate in Mayotte.
Finally, in Chapter 12, we develop the idea that excessive mathematical modeling of the Mahoran economy would be ineffective to really take into account the weight of informal economy sectors, even though a systemic modeling seems to be an interesting perspective. The argument is based, in a historical and epistemological approach, on the critical discussion of two classic arguments for mathematization economy: the ontological argument that the economy is based on numbers (and laws) and is therefore arithmetic-algebraic in nature, and the linguistic argument that considers mathematical language as a bearer minima of universality, logic and rigor. Examples of economic situations encountered in Mayotte support this argument, showing the complex links that exist between the formal and informal economy, between modern society and traditional practices. The statistician drift is denounced. The diversity and multiplicity of stakeholders and economic factors also appear as obstacles to mathematical modeling.
Last but not least, we are grateful to our families for their continued support, encouragement and especially for supporting us during all the long hours we spent away from them while working on this book.
Introduction written by Solym Mawaki MANOU-ABI, Sophie DABO-NIANG and Jean-Jacques SALONE.
We consider epidemic models with a constant flux of susceptibles, either because an infected individual becomes susceptible immediately after healing, or after some time when the individual becomes immune to the illness, or because there is a constant flux of newborn or immigrant susceptibles.
In the above-mentioned three cases, for certain values of the parameters, there is an endemic equilibrium, which is a stable equilibrium of the associated deterministic epidemic model. The deterministic model can be considered as the law of large numbers limit (as the size of the population tends to ∞) of a stochastic model, where infections, healings, births and deaths happen according to Poisson processes, whose rates depend upon the numbers of individuals in each compartment.
Since the disease-free states are absorbing, it follows from an irreducibility property, which is clearly valid in our models, that the epidemic will stop sooner or later in the more realistic stochastic model. However, the time which the stochastic perturbances will need to stop the epidemic may be enormous when the size N of the population is large. The aim of this chapter is to describe, based on the central limit theorem (CLT), large and moderate deviations (LD, MD), the time it takes for the epidemic to stop in the stochastic model.
The chapter is organized as follows. In section 1.2, we describe the three deterministic and stochastic models which we have in mind, namely, the SIS, SIRS and SIR model with demography. In section 1.3, we give the general formulation of the stochastic models, and recall the law of large numbers, the central limit theorem and the theory of large deviations, and their application to the time of extinction of an epidemic. Finally, in section 1.4, we present the moderate deviations result for the SIS model (which is the simplest of our three models), and explain how it can be used to predict the time taken for an epidemic to cease. Those results will be proved in more generality, with full details of the proofs in Pardoux (2019).
The results concerning the law of large numbers and the large deviations can be found in Kratz and Pardoux (2018), Pardoux and Samegni-Kepgnou (2017), and Britton and Pardoux (2019b), where the central limit theorem is also established. Note that the three above-mentioned references present different approaches to the large deviations results. The moderate deviations results will appear in Pardoux (2019).
We conclude this introduction with a short history and a few references to books and lecture notes which describe models of infectious diseases and epidemics. Mathematical modeling of infectious diseases has a long history of being useful. The first such mathematical model was probably the one proposed by Bernoulli in Bernoulli (1760), with a model of smallpox. A little more than one hundred years ago, Sir Ronald Ross, a British medical doctor and Nobel laureate, who contributed to the understanding of malaria wrote:
As a matter of fact all epidemiology, concerned as it is with variation of disease from time to time and from place to place, must be considered mathematically (…) and the mathematical method of treatment is really nothing but the application of careful reasoning to the problems at hand.
As a matter of fact, Ross deduced, from mathematical arguments, conclusions concerning malaria, which his physician colleagues found hard to accept. One of the first books devoted to mathematical modeling of infectious diseases is Bailey (1975). A book which has had huge impact is Anderson and May (1991), which deals exclusively with deterministic models. Since then, there has been steady production of new research monographs, for example Andersson and Britton (2000) also looking at inference methodology, Daley and Gani (1999) focusing mainly on stochastic models, Keeling and Rohani (2008) dealing also with animal populations, and Diekmann, Heesterbeek, and Britton (2013) covering both deterministic and stochastic modeling. Finally, Britton and Pardoux (2019a) will soon present the broadest treatment of stochastic epidemic models ever published in one volume, covering both classical and new results and methods, from mathematical models to statistical procedures.
The deterministic SIS model is the following. Let s(t) (respectively i(t)) denote the proportion of susceptible (respectively infectious) individuals in the population. Given an infection parameter λ and a recovery parameter γ, the deterministic SIS model can be written as

Since clearly s(t) + i(t) ≡ 1, the system can be reduced to a one-dimensional ordinary differential equation. If we let z(t) = i(t), we have s(t) = 1 − z(t), and we obtain the ordinary differential equation

It is easy to verify that this ordinary differential equation has a so-called “disease-free equilibrium”, which is z(t) = 0. If λ > γ, this equilibrium is unstable, and there is a stable endemic equilibrium z(t) = 1 − γ/λ.
The corresponding stochastic model is as follows. Let
(respectively
denote the proportion of susceptible (respectively infectious) individuals in a population of total size N.

Here Pinf (t) and Prec(t) are two mutually independent standard (i.e. rate 1) Poisson processes. Let us give some explanations, first concerning the modeling, then concerning the mathematical formulation.
Let
(respectively
) denote the number of susceptible (respectively infectious) individuals in the population. The equations for those quantities are the above equations, multiplied by N. The argument of Pinf (t) can be written as

The justification for such a rate of infections in the total population is as follows. Each infectious individual meets other individuals in the population at some rate β. The encounter results in a new infection with probability p if the partner of the encounter is susceptible, which happens with probability
since we assume that each individual in the population has the same probability of being that partner, and with probability 0 if the partner is an infectious individual. Letting λ = βp and summing over the infectious at time t gives the above rate. Concerning recovery, it is assumed that each infectious recovers at rate γ, independently of the others.
REMARK 1.1.– Let us comment about the fact that we write our stochastic models in terms of Poisson processes. The fact that the infection events happen according to a Poisson process is a rather natural assumption. However, concerning the recovery from infection, our model assumes that the duration of the infectious period follows an exponential distribution. This is not realistic. We are forced to make such an assumption if we want to have a Markov model. We must confess that this assumption is done for mathematical convenience. However, we expect to extend our results to non-Markovian models in forthcoming publications.
Note that there is an equivalent, but slightly more complicated way of writing the Poisson terms, which we now present. Let
and
denote two mutually independent Poisson random measures on (0, +∞)2, with mean measure the Lebesgue measure.

and

Again we have
and
satisfies

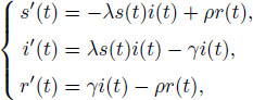
In the SIRS model, contrary to the SIS model, an infectious who heals is first immune to the illness, he is “recovered”, and only after some time does he lose his immunity and turn susceptible. The deterministic SIRS model can be written as

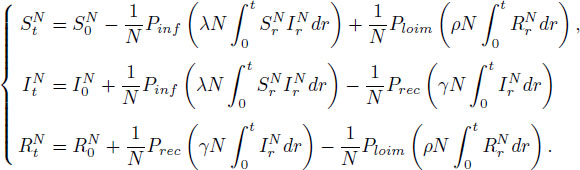
while the stochastic SIRS model can be written as

These two models could be reduced to two-dimensional models for
(respectively 
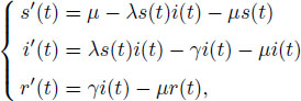
In this model, recovered individuals remain immune forever, but there is a flux of susceptibles by births at rate μN, while individuals from each of the three compartments die at rate μ. Thus, the deterministic model

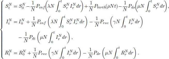
whose stochastic variant can be written as

REMARK 1.2.– We may think that it would be more natural to decide that births happen at rate µ times the total population. Then the total population process would be a critical branching process, which would go extinct in finite time a.s., which we do not want. Next it might seem more natural to replace, in the infection rate, the ratio
which is the actual ratio of susceptibles in the population at time t. It is easy to show that
is close to N, so we choose the simplest formulation.
Again, we can reduce these models to two-dimensional models for z(t) = (i(t), s(t)) (respectively
by deleting the r (respectively RN) component.
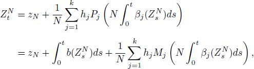
The three above-mentioned stochastic models are of the following form.

where
are mutually independent standard Poisson processes,
and
takes its values in 
In the case of the SIS model, d = 1, k = 2, h1 = 1, β1(z) = λz(1 − z), h2 = −1 and β2(z) = γz.
In the case of the SIRS model,

In the case of the SIR model with demography, we can restrict ourselves to d = 2, while

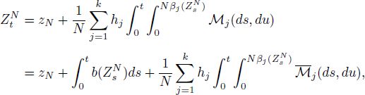
While the above formulation has the advantage of being concise, for certain purposes it is more convenient to rewrite [1.1] using the equivalent formulation already described in the case of the SIS model. Let
be mutually independent Poisson random measures on
with mean measure the Lebesgue measure, and let
We can rewrite [1.1] in the form

in the sense that the joint law of {ZN, N ≥ 1} is the same law of a sequence of random elements of the Skorohod space D ([0, T];
), whether we use [1.1] or [1.2] for its definition.
We will now state a few results, without specifying particular assumptions. Those results are valid at least in the case of the three above examples. See Britton and Pardoux (2019b) for details of the proofs, and precise assumptions under which those results hold true.
Concerning the initial condition, we assume that for some z ∈ [0, 1]d, zN = [Nz]/N, where
is the vector whose i-th component is the integer part of the real number Nzi.
We have a law of large numbers
THEOREM 1.1.– Let
denote the solution of the stochastic differential equation [1.1]. Assume that the βj are locally bounded, b is locally Lipschitz and the unique solution of equation [1.3] does not explode in finite time. Then
a.s. locally uniformly in t, where {zt, t ≥ 0} is the unique solution of the ordinary differential equation

The main argument in the proof of the above theorem is the fact that, locally uniformly in t,

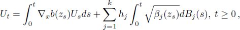
We also have a Central Limit Theorem. Let 
THEOREM 1.2.– Assume in addition to the hypotheses of Theorem 1.1 that b is of class C1. Then, as
for the topology of locally uniform convergence, where {Ut, t ≥ 0} is a Gaussian process of the form

where
are mutually independent standard Brownian motions.
We denote by
the set of absolutely continuous functions from [0, T] into
For any
denote the (possibly empty) set of functions c ∈
such that cj (t) = 0 a.e. on the set {t, βj(φt) = 0} and

We define the rate function

where as usual the infimum over an empty set is +∞, and

with g(ν, ω) = ν log(ν/ω) − ν + ω. We assume in the definition of g(ν, ω) that for all ν > 0, log(ν/0) = ∞ and 0 log(0/0) = 0 log(0) = 0. It is not hard to verify that IT(φ) =0 if and only if φ solves the ordinary differential equation [1.3]. It(φ) can be interpreted as an energy needed for letting φ deviate from being a solution of [1.3].
The collection ZN obeys a large deviations principle, in the sense that
THEOREM 1.3.– For any open subset 

For any closed subset 

where for any z 

A slight reinforcement of this theorem allows us to conclude a Wentzell–Freidlin type of result. Wentzell and Freidlin have studied small random perturbations of an ordinary differential equation like [1.3] (see Freidlin and Wentzell (2012)). One of their main results is to compute, asymptotically, the time needed for a small random perturbation of such an equation to drive the solution outside of the basin of attraction of a stable equilibrium. The theory has been originally developed for Brownian perturbations. Here we give a statement of the same type, for a Poissonian perturbation. In what follows, we assume that the first component of
(respectively z(t)) is
(respectively i(t)). Assume that the deterministic ordinary differential equation [1.3] has a unique stable equilibrium z* whose first component satisfies
We define

Let now

We have the
THEOREM 1.4.– Given any η > 0, for any z with z1 > 0,

Moreover, for all η > 0 and N large enough,

It is important to evaluate the quantity
Note that it is the value function of an optimal control problem. In case of the SIS model, which is one-dimensional, we can solve this control problem explicitly with the help of Pontryagin’s maximum principle1, see Pontryagin et al. (1962) or for a concise introduction adapted to this application section A.6 in Britton and Pardoux (2019b), and deduce in that case that
For other models, we can compute numerically the value of
for each given value of the parameters.
Consider the SIR with demography.

We assume that λ > γ + μ, in which case there is a unique stable endemic equilibrium, namely,
Following section 4.1 in Britton and Pardoux (2019b), we can study the extinction of an epidemic in the above model using the CLT. We note that the basic reproduction number R0 (the expected number of infectious contacts by one infectious at the start of the epidemic, i.e. when
and the expected relative time of a life an individual is infected, ε, are given by

The rate of recovery γ is much larger than the death rate μ (52 compared to 1/75 for a one week infectious period and 75 year life length) so for all practical purposes, the two expressions can be approximated by R0 ≈ λ/γ and ε ≈ μ/γ. Denote again by
the fraction of the population which is infectious in a population of size N. The law of large numbers tells us that for N and t large,
is close to i*. The CLT tell us that
converges to a Gaussian process, whose asymptotic variance can be shown to be well approximated by
This suggests that for large t, the number of infectious in the population is approximately Gaussian, with mean Ni* and standard deviation
Since we expect a Gaussian process with marginal N(0, 1) to hit −2 fairly quickly, we expect that if
then the epidemic will stop rather quickly, while if
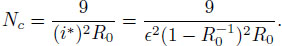
it is not clear that the time of extinction will be of order 1 (as a function of N). This gives a critical population size roughly of the order of

Note that the factor 9 is rather arbitrary. This Nc is rather large since i* is relatively small. Clearly, even if everybody in the population gets ill at some point, being ill one week in a lifetime of 75 years on average gives a small fraction of infectious in the population.
Consider measles prior to vaccination. If we assume that R0 ≈ 15 and the infectious period is 1 week (1/52 years) and life duration 75 years, implying that
we arrive at Nc ≈ 9(3750)2/15 ≈ 8 · 106. Therefore, if the population is at most a couple of million, we expect that the disease will go extinct quickly, whereas the disease will become endemic (for a rather long time) in a population larger than, for example, 20 million people. This confirms the empirical observation prior to vaccination that measles was continuously endemic in the UK, whereas it died out quickly in Iceland (and was later reintroduced by infectious people visiting the country), see Anderson and May (1991).
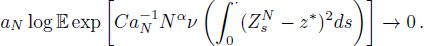
If the CLT allows us to predict extinction of an endemic disease for population sizes under a given threshold Nc, and large deviations gives predictions for arbitrarily large population sizes, it is fair to look at moderate deviations, which describes ranges of fluctuations between those of the CLT and those of the LD. We shall present the moderate deviations approach in the specific case of the SIS model. In other words, our model from now on is one-dimensional, which can be written in the form

We consider the case λ > γ and recall that the unique stable equilibrium of the deterministic model then is
We assume that
We have

It follows that

Consequently,

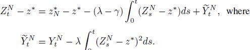
We can also rewrite the above stochastic differential equation in the form

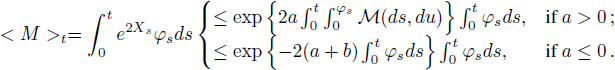
A combination of [1.6] and [1.7] yields the existence of a constant C such that

For the bound by
we first take the square in [1.6].
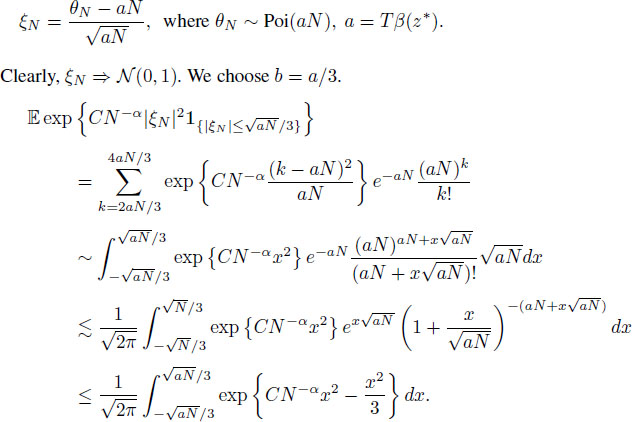
We now define, for 0 < α < 1/2,

and deduce from [1.7]

It follows from [1.9] that the map
is continuous from D([0, T]) into itself. Here we equip D([0, T]) with the sup norm topology, which makes it a Hausdorff topologic vector space (equipped with the Skorohod topology, D([0, T]) is not a topologic vector space).
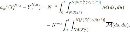
We are interested in the large deviations of
which means moderate deviations of ZN – z*. Note that the deviations of Nα(ZN – z*) in case α = 1/2 are analyzed by the central limit theorem, and in case α = 0 by the large deviations. So with 0 < α < 1/2, we are clearly in a regime here which is intermediate between the CLT and LD, which is called the regime of moderate deviations.
We first note that the LD of Nα(ZN – z*) will be deduced from those of
thanks to the contraction principle, see for example, Theorem 4.2.1 in Dembo and Zeitouni (1998). So we essentially have to analyze the LD of
In fact, we will proceed in three steps. In the first step, we shall analyze the large deviations of

at the speed N2α–1, or in other words, the moderate deviations of

The second step will consist of showing that
have the same behavior as regards large deviations. Finally, the third step will consist of applying the contraction principle, in order to deduce the LD of Nα(ZN – z*).

We shall use the notations aN = N2α–1 and
Given a signed measure ν on [0, T], we write

for the logarithmic moment generating function of 
The crucial step of our derivation is the
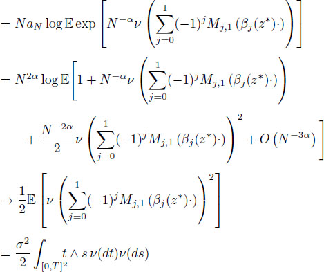
PROPOSITION 1.1.– For any signed measure ν on [0, T], as N → ∞,

where

PROOF.– We first rewrite
in the form

here β0(z) = λz(1 − z) and β1(z) = γz and the processes {Mj,
, j = 0, 1; 1 ≤
≤ N} are i.i.d. compensated standard Poisson processes. We now have


as N → ∞,, where we have used the notation
□
The next step consists of establishing exponential tightness of the laws of
in the sense that
PROPOSITION 1.2.– For any R > 0, there exists a compact set
such that

The proof of this Proposition essentially follows the lines of the proof of exponential tightness in section 4.2.4 of Britton and Pardoux (2019b).
We now define the Fenchel–Legendre transform of Λ. Recall that we equip D([0,T]) with the supnorm topology. For each 

From Proposition 1.1 and Proposition 1.2 combined with an approximation of
by a piecewise linear continuous process (see Pardoux (2019) for the details), we deduce from Corollary 4.6.14 from Dembo and Zeitouni (1998) the following.
THEOREM 1.5.– The sequence
satisfies the Large Deviation Principle in
with the convex, good rate function Λ* and with speed aN, in the sense that for any Borel subset 

Let us compute Λ*. With the notation s ∧ t := inf(s, t),

It is easily seen that
Let now
such that φ(0) = 0. The gradient of the map
can be written as

We look for ν* such that this gradient equals 0. This implies that

From those identities, combined with φ(0) = 0, we deduce that


We want to show in this step that
satisfies exactly the same large deviations result as
This will follow if we prove that
satisfies Proposition 1.1 (with the same expression in the limit) and Proposition 1.2. Let us state a property that allows us to conclude that
satisfies Proposition 1.1 with the correct limit.
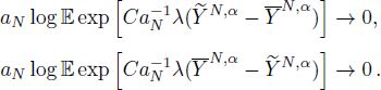
PROPOSITION 1.3.– For any C > 0, as N →∞,

We first prove
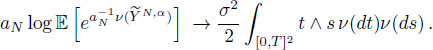
COROLLARY 1.1.– Given Proposition 1.1, if Proposition 1.3 holds true, then for any signed measure v on [0, T], as N →∞,

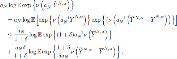
PROOF.– For any δ > 0, we deduce from Hölder’s inequality

so that, if we combine Proposition 1.1 and Proposition 1.3, we deduce that

and letting δ − 0, we conclude that

For the inequality in the other direction, we note that, by similar arguments,

so that

hence, letting δ → 0 we conclude that

□
Before we prove Proposition 1.3, we first need to establish a technical Lemma.
LEMMA 1.1.– Let
be a standard Poisson random measure on
and
– dtdu the associated compensated measure. If ϕ is an
+-valued predictable process, such that
has exponential moments of any order, and
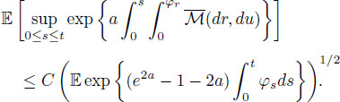
then there exists a constant C such that for any 0 ≤ t ≤ T,

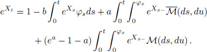
PROOF.– Consider with b ≥ 0 the process

It follows from Itô’s formula that

It follows from Lemma 1.2 below that
is a martingale. Hence, eX is a martingale, if b = (ea − 1 − a), a submartingale if we replace = by <, and a supermartingale if we replace = by >. Hence if b ≥ (ea − 1 − a),
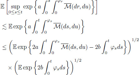
Now, first using Doob’s L2 inequality for submartingales, and later Cauchy’s inequality, we have

If 2b = e2a − 1 − 2a, the first factor on the last right-hand side equals 1. □
In order to complete the proof of Lemma 1.1, we still need to establish
LEMMA 1.2.– The process ϕ satisfying the same assumptions as in Lemma 1.1, and Xt being given by [1.11],
is a martingale.
PROOF.– It is plain that Mt is a local martingale, whose predictable quadratic variation is given as

All we need to show is that the above quantity is integrable. It is clearly a consequence of the assumption in case a < 0. In case a > 0, the second factor of the right-hand side has finite exponential moments, so is square integrable, and all we need to show is that

Using Itô’s formula we have

It is easy to conclude that
It follows from Cauchy–Schwartz that

and the result follows from our assumption on ϕ. □
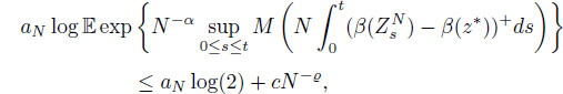
We now turn to the
PROOF OF PROPOSITION 1.3 We note that

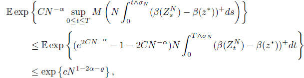
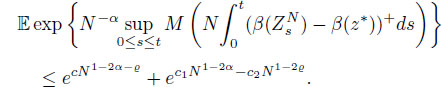
Proposition 1.3 will follow from the fact that for any C > 0, as N →∞,



We shall prove [1.13] and [1.15]. The proof of [1.14] is quite similar to that of [1.13].
STEP 1: PROOF OF [1.13] It suffices to consider one of the terms in the sum over j, and we suppress the index j for simplicity. We note that

It is not hard to see that we can treat each of the two terms on the right separately, and treat only the first term, with the treatment of the second one being quite similar. We note that there exists a compensated Poisson process on
+ M such that this first term can be rewritten as

We need to estimate
If we decompose the signed measure ν as the difference of two measures as follows ν = ν+ − ν−, we again have two terms, and it suffices to treat one of them, say ν+. Of course, it suffices to treat the case where
Since the positive constant C is arbitrary, without loss of generality, we can assume that ν+ is a probability measure on [0, T]. It is then clear that

We choose a new parameter
and we split the expression whose expectation needs to be estimated in two terms.

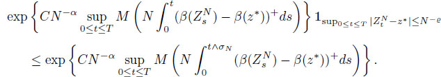
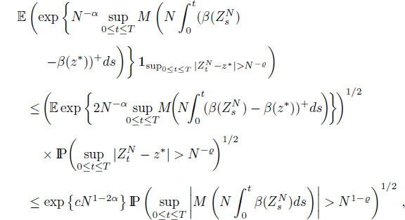
We now estimate the first term on the right-hand side of [1.16]. In this case, we define the stopping time

and note that

Consequently, the expectation of the first term on the right of [1.16] is bounded from above by

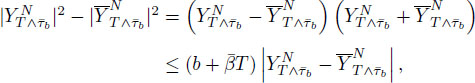
where the first inequality follows from Lemma 1.1, and the second one exploits the Lipschitz property of β. Consider now the second term on the right-hand side of [1.16].

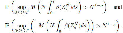
where the second inequality follows from Lemma 1.1 and the boundedness of β. For the second factor in the last expression, we need to consider

Both probabilities are estimated in a similar way. By an exponential estimate,

for N large enough. Finally, the expectation of the second term of the right-hand side of [1.16] is bounded by expjciN
with c1, c2 > 0, and

From the inequality log(a + b) ≤ log(2) + log(sup(a, b)), for N large enough,

which establishes [1.13].
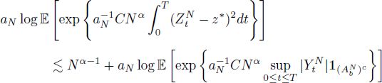
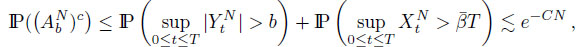
STEP 2: PROOF OF [1.15] We, in fact, must prove that for any C > 0, as N →∞,

In this proof, C will denote a constant whose value may change from line to line. We now introduce a new process, where 

the event

and the stopping time

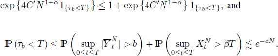
where the constant b will be chosen below. From [1.8], the fact that
and Cauchy–Schwartz,


we take the limit successively in the two terms of the above right-hand side.
STEP 2a: estimate of [1.18] We have

It remains to be noted that

and

for some positive constant C, so that finally there exist two positive constants C1 and C2 such that, for N large enough,

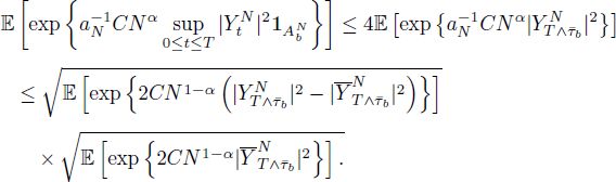
STEP 2b: estimate of [1.19] Since YN is a martingale, it is clear that the process

is a submartingale. Consequently, from Doob’s L2 submartingale inequality,

Consider first the first factor on the right-hand side of [1.20]. We have

and the result follows from [1.13] and [1.14].
We finally consider the second term on the right-hand side of [1.20]. We have

Hence, the second term on the right of [1.20] satisfies

We now write

with

We have proved that the first factor on the right-hand side of [1.21] remains bounded, as N → ∞. Next consider the second term on the right-hand side of [1.21]. We have

It follows that the second factor in [1.20] is bounded from above by

where C1 and C2 are two positive constants. This last expression is bounded say by 2, as soon as N is large enough. □
Recall that
is the image of
by the mapping
from D([0, T]) into itself, which is continuous if we equip D([0, T]) with the supnorm topology, defined by:

Note also that the above mapping is a bijection. The following result is then a consequence of Corollary 1.1 and the contraction principle.
THEOREM 1.6.– The collection of processes
satisfies a large deviation principle with the good rate function

REMARK 1.3.– While the LD rate function of a Poisson-driven stochastic differential equation is very different from the rate function of LDs for its Brownian-driven diffusion approximation, the rate function for moderate deviations of Poisson-driven stochastic differential equations is identical to that of LDs for its Brownian-driven diffusion approximation.
We want to conclude from the Wentzell–Freidlin theory an estimate of the time needed for
to make a deviation of −c, i.e. to go from 0 to −c, which, for the value of N such that z* = cN-α, means the time for
to hit 0. In this case, we first compute

An application of Pontryagin’s maximum principle, see Pontryagin et al. (1962), yields

Using the same arguments as in Kratz and Pardoux (2018) and Britton and Pardoux (2019b), we then deduce from Theorem 1.6
THEOREM 1.7.– Let
For any δ > 0,

Moreover,

Recall that
In the CLT regime,
while in the LD regime, 
Let us now compute the corresponding critical population size.
is the order of magnitude of the time needed for
to make a deviation of size cN-α. This is sufficient to extinguish an epidemic, provided i* is of the same order, so that the corresponding critical size is Nα ~ (1/i*)1/α, that is roughly the CLT critical population size raised to the power 1/2α. In the case of the SIR model with demography for measles, the CLT critical population size is of the order of a few million; thus, for example, with α = 1/3, we go from 106 to 109, i.e. a few billion, which is the order of magnitude of the biggest countries, i.e. China and India.
Anderson, R.M. and May, R.M. (1991). Infectious Diseases of Humans: Dynamics and Control. Oxford University Press, Oxford.
Andersson, H. and Britton, T. (2000). Stochastic Epidemic Models and Their Statistical Analysis. Springer Lecture Notes in Statistics. Springer Verlag, New York.
Bailey, N. (1975). The Mathematical Theory of Infectious Diseases and its Applications. Griffin, London.
Bernoulli, D. (1760). Essai d’une nouvelle analyse de la mortalité causée par la petite vérole et des avantages de l’inoculation pour la prévenir. Mém. Math. Phys. Acad. Roy. Sci., Paris, 1–45.
Britton, T. and Pardoux, E. (eds) (2019a). Stochastic Epidemic Models with Inference. Springer Verlag, New York.
Britton, T. and Pardoux, E. (2019b). Stochastic epidemics in a homogeneous community. In Stochastic Epidemic Models with Inference, Britton, T. and Pardoux, E. (eds). Springer Verlag, New York.
Daley, D. and Gani, J. (1999). Epidemic Modeling: An Introduction. Cambridge University Press, Cambridge.
Dembo, A. and Zeitouni, O. (1998). Large Deviations, Techniques and Applications, 2nd edition. Applications of Mathematics, 38, Springer, New York.
Diekmann, O., Heesterbeek, J., and Britton, T. (2013). Mathematical Tools for Understanding Infectious Disease Dynamics. Princeton University Press, Princeton.
Freidlin, M. and Wentzell, A. (2012). Random Perturbations of Dynamical Systems. Springer, New York.
Keeling, M. and Rohani, P. (2008). Modeling Infectious Diseases in Humans and Animals. Princeton University Press, Princeton.
Kratz, P. and Pardoux, E. (2018). Large deviations for infectious diseases models. Séminaire de Probabilités XLIX, 221–327.
Pardoux, E. (2019). Moderate deviations and extinction of an endemic disease. arXiv:1905.08986.
Pardoux, E. and Samegni-Kepgnou, B. (2017). Large deviation principle for epidemic models. Journal of Applied Probability, 54, 905–920.
Pontryagin, L., Boltyanskii, V., Gramkrelidze, R., and Mishchenko, E. (1962). The Mathematical Theory of Optimal Processes. Translated by Trirogoff, K.N., Neustadt, L.W. (eds), John Wiley & Sons, New York.
Chapter written by Étienne PARDOUX.